BioScientific Review (2025) 7:2
Review Open Access

Effects of Salicylic Acid Foliar Spray on Lead Stress Mitigation in Brassica juncea L.

DOI:

ORCIDMuhammad Saifullah1 , Naveen Dilawar2* , Attaur Rahman3, and Muhammad Usman1

1 Department of Botany the University of Swabi, Pakistan

2Department of Botany, Women University Mardan, Pakistan

3Department of Botany, Abdul Wali Khan University Mardan, Pakistan

Abstract

Background. Heavy metal (HM) contamination has emerged as a pressing global concern, posing severe risks to all forms of life, including plants, animals, microorganisms, and aquatic ecosystems. The primary sources of HM pollution are various anthropogenic activities, such as industrial emissions, improper waste disposal, deforestation, urbanization, and overpopulation, as well as natural phenomena including volcanic eruptions. Lead (Pb) is a highly toxic HM, adversely affecting plant growth, development, and productivity.

Method. This study evaluates the effect of salicylic acid (SA) foliar spray on Brassica juncea L. under lead stress (10 ppm and 30 ppm concentrations).

Results. Lead stress significantly reduced root length (by 53-59%), chlorophyll content (chlorophyll a by 65-78%, chlorophyll b by 57-76%), and protein content (by 54-65%). However, salicylic acid application improved all parameters, including 24-30% increase in chlorophyll and 40% increase in protein content.

Conclusion. The findings highlight salicylic acid’s protective role in enhancing plant resilience and its potential as a practical approach to manage HM stress in contaminated soils.

Keywords:Brassica juncea L. chlorophyll, lead (Pb), proline, protein, salicylic acid (SA), sugar, sustainable agriculture

*Corresponding author: [email protected]

Published: 20-05-2025

Highlights

GRAPHICAL ABSTRACT

1. INTRODUCTION

External abiotic factors produce negative effects on plants during their growth cycle and developmental stages. Such factors disturb plant homeostasis and create vital disruptions which could restrict healthy plant development [1]. The harmful effects of heavy metals (HMs) on cellular components stand out among other stress factors because HMs disrupt both mitochondria and ribosomes, as well as enzymes within the cells. The function of mitochondria in energy production and of ribosomes during protein synthesis warrants that cellular activity is severely affected by any functional disruption [2]. Heavy metals represent elements which display a high atomic mass and density. These metals include Cd, Zn, Hg, As, Ag, Cr, Cu, Fe, and Pt. Heavy metals pose severe environmental and organismal threats [3]. Both natural accumulation and human-made operations cause lead (Pb) contamination, which is a dangerous toxic substance [4]. Lead containing rocks and minerals, together with the industrial production of paints, batteries, and petroleum products, are major sources of lead contamination. Irrigation with industrial waste water and biological waste treatment products, together with heavy pesticide and fertilizer applications, constitute the additional contributing factors [5]. Plants, together with animals, face the damaging effects in their environment caused by lead exposure. Lead contamination affects multiple physiological systems of the plants, as it interrupts seed germination along with impeding root development. It also inhibits cellular structure formation. The cellular functions suffer damage because it causes chlorosis and stunts growth, while blocking the uptake of K+, Mg2+, Ca2+, Mn2+, Zn2+, and Fe3+ nutrients, thus leading to phytotoxicity [6].

The amount of lead that causes soil toxicity depends upon its concentration, together with its co-existing chemical compounds [7]. Soil divalent cation Pb²⁺ is the primary substance that roots absorb for lead uptake. The primary step of passive absorption involves Pb²⁺ ions binding with root rhizoderm before the ions advance into the plant through the water conduction path. The bioprocess achieves maximum efficiency because roots’ apex locations possess cellular features that enhance metal solubility in acidic surroundings [8]. Lead exposure inside plants disrupts their biochemical and physiological functions and leads to severe inhibition of seed germination. This occurs together with root elongation and cell division, along with seedling development and chlorophyll biosynthesis and transpiration [911]. Additionally, lead alters the physiochemical properties of the soil and disrupts the microbial community structures, further exacerbating its toxic effects [12].

Brassica juncea L., commonly known as Indian mustard, is a member of the Brassicaceae family. This species is economically important for its oil-rich seeds. The seed residues serve as a valuable source of livestock feed. However, heavy metal stress, such as lead exposure, can significantly reduce the oil content in seeds and diminish the overall yield [13]. Salicylic acid (SA) mitigates lead stress in plants by enhancing antioxidant defenses and improving growth. It reduces oxidative damage and lead uptake, promoting plant development in contaminated environments [14]. As a result, the adverse effects of HMs on crops such as B. juncea have far-reaching economic and ecological consequences. Hence, the primary aim of this study is to investigate the effect of salicylic acid as a foliar spray on plants exposed to lead stress, with a particular focus on evaluating its role in mitigating the detrimental effects of lead on plant growth, physiological processes, and overall productivity.

It is hypothesized that the exogenous application of salicylic acid as a foliar spray would alleviate lead-induced toxicity in B. juncea by enhancing physiological and biochemical defenses.

2. MATERIALS AND METHODS

The experiment was conducted at the Department of Botany, University of Swabi, KPK, Pakistan. The seeds of B. juncea were obtained from the National Agricultural Research Centre (NARC), Islamabad. Morphologically healthy seeds of B. juncea were sterilized using 25% sodium hypochlorite for 2 min. Distilled water was used to wash the seeds 3 times after the sterilization process. Seeds were sown in pots (size 6 inch and diameter 15 cm) filled with soil and sand in a 3:1 ratio. Three replicates were used for each experiment. Lead stress was induced by preparing the solutions of 10 ppm and 30 ppm, achieved by dissolving 10 mg and 30 mg of Pb(NO₃)₂ in 1 liter of distilled water, respectively. Salicylic acid was applied as a foliar spray, prepared by dissolving salicylic acid powder in ethanol before diluting the solution with distilled water. The experiment was conducted by using randomized complete block design (RCBD).

2.1. Research Layout

The agronomic data of lead-treated plants were collected after 45 days. The method of [14] was used to measure different morphological parameters including fresh and dry weights (mg), shoot length (measured from soil level to apex using a scale), root length (cm), as well as the number of leaves. Shoot length and root length were measured manually using a scale.

2.2. Chlorophyll A and B

The procedure [15] was used to measure the amount of chlorophyll in the leaves of B. juncea. Approximately 4 ml of 80% acetone (w/v) were added to 0.5 g of fresh leaf samples, which were then incubated at room temperature in the dark. To obtain a clean supernatant for chlorophyll analysis, the mixture was centrifuged for 5 minutes at 2000 rpm. A spectrophotometer (Vis Visible spectrophotometer, Model No. 721) was used to detect the absorbance of chlorophyll a and b at 663 and 645 nm respectively, in comparison to an 80% acetone blank. The following formulae were used to determine the amount of chlorophyll:

Chlorophyll A µgmL-1): (12.7*A663)—(2.69*A645)

Chlorophyll B (µgmL-1): (22.9*A645) -(4.68*A663)

2.3. Sugar Determination

Sugar assessment in B. juncea was based on the approach of [16]. As per protocol, fresh plant leaf (0.5g) was crushed in a clean mortar with 10 ml of distilled water and centrifuged at 3000 rpm for 5 min. After incubation at room temperature, 5 ml of sulphuric acid (concentrated) was added to the 1 ml supernatant of 80% (w/v) phenol. The sample was raised for 4 hours; at 420 nm the absorbance of each sample was recorded. The unknown sample concentration was measured with respect to the standard curve made using glucose.

2.4. Protein Determination

According to the protocol of [17], the amount of protein in B. juncea was determined with the help of four key reagents. Phosphate buffer (pH 7.5) was prepared by mixing monobasic and dibasic sodium phosphate to maintain a stable pH during protein extraction. Reagent A Contained Na₂CO₃ to enhance protein sensitivity, NaOH (0.1 N) to create an alkaline environment, and Na-K tartrate to stabilize copper ions. Reagent B, a solution of CuSO₄·5H₂O in distilled water, provided copper ions that reacted with the protein peptide bonds. Reagent D was Folin phenol reagent diluted 1:1 with distilled water, which reacted with the copper-protein complex to produce a measurable color change. For the analysis, fresh leaf tissue (0.1 g) was homogenized with 1 ml of phosphate buffer and centrifuged at 3000 rpm for 10 min. The supernatant (0.1 ml) was diluted with distilled water (1 ml), followed by the addition of 1 ml of Reagent C (a mixture of Reagent A and Reagent B) and 0.1 ml of Reagent D. After shaking for 10 min and incubating for 30 min, absorbance was recorded at 650 nm and the protein content was calculated using a BSA standard curve (20–640 mg/ml).

2.5. Proline Determination

The proline content was measured using the Bates’ method [18]. Fresh aerial material (leaves) was treated with 10 ml of 3% aqueous sulfosalicylic acid solution by crushing 0.5 g of the material using mortar and pestle. After filtering the homogenate, 2 ml of acid ninhydrin solution, together with 2 ml of glacial acetic acid, were added. The temperature of the water bath was maintained at 100ºC, while boiling the mixture for 1 hour under constant conditions, prior to stopping the reaction by placing the tube in cold water. Through the spectrophotometer, the absorbance of 0.5 ml of the samples at 520 nm was measured, which let us determine their proline concentration. The prepared calibration curve was used to enable the measurement of proline ug/ml amounts in the samples.

2.6. Statistical Analysis

IBM SPSS (version 25) was used to analyze the data. Every experiment was carried out three times. Duncan’s multiple range test and one-way analysis of variance (ANOVA) were used to examine the treatment differences at a significance threshold of p < 0.05. Graphs were plotted using the Origin Pro 2024 software.

3. RESULTS

3.1. Root Length

In the current study, lead stress significantly impaired root length in B. juncea. Plants subjected to 10 ppm Pb exhibited 53% reduction in their root length, whereas exposure to 30 ppm Pb resulted in 59% decrease, as compared to the untreated control (Table 1). However, the application of salicylic acid (SA) showed an alleviating effect. Plants treated with SA showed 18% increase in root length, relative to the control. Combined treatments, including 10 ppm Pb + SA and 30 ppm Pb + Sa, showed a remarkable improvement in root length as compared to the control. These findings highlight the role of salicylic acid foliar application in mitigating lead-induced root growth inhibition and promoting resilience under heavy metal stress.

3.2. Shoot Length

The shoot length of B. juncea was significantly impacted by lead stress. Plants exposed to 10 ppm Pb exhibited reduction in shoot length by 11%, while those subjected to 30 ppm Pb showed a more pronounced decrease of 24%, as compared to the control (Table 1). When plants received the application of salicylic acid, their shoot length improved by 16% when measured against the untreated control. Adding (Pb + SA) to the treatment improved the shoot length above lead stress levels. These findings establish salicylic acid foliar spray as an effective solution to lessen lead stress damage to plant shoot development.

3.3. Number of Leaves

The exposure to 10 ppm Pb led B. juncea plants to reduce their leaf count by 31%, whereas 30 ppm Pb exposure resulted in 53% reduction in leaf count, when compared to the control group (Table 1). The addition of salicylic acid by itself caused 15% increase in leaf count, thus demonstrating its growth-stimulating properties. A joint application of lead and salicylic acid led to superior leaf development in plants, when compared to lead-exposed conditions. The findings demonstrate that spraying leaves with salicylic acid can successfully prevent and promote growth during lead stress.

3.4. Fresh Weight

Lead stress caused significant reduction in the fresh weight of B. juncea. Plants treated with 10 ppm Pb reduced their fresh weight by 20%, whereas those exposed to 30 ppm Pb decreased their weight by 38%, based on the measurements reported in Table 1. The single application of salicylic acid by itself resulted in fresh weight increase of 40%, as it proved effective in promoting growth. Plants that received combined treatment of lead and salicylic acid experienced better fresh weight recovery than those exposed to lead stress alone. Foliar treatment with salicylic acid revealed its effectiveness to minimize lead stress damage, together with its ability to boost plant development.

3.5. Dry Weight

Receiving lead in stress conditions significantly reduced the dry weight measurements of B. juncea. Plants subjected to 10 ppm Pb reduced the dry weight by 35%. While, plants given 30 ppm lead decreased their dry weight by 43% below control, as observed in Table 1. In contrast, salicylic acid treatment alone increased dry weight by 35%, relative to the control. Under combined treatment (Pb + SA), plants showed an increased dry weight, as compared to lead stress only.  These results emphasize the role of salicylic acid foliar application to alleviate lead-induced stress and improve plant biomass.

Table 1. Mean ± S.E Value of the Growth Parameters of Brassica Juncea L, Treated with Salicylic Acid Under Pb Stress

Treatment

R L (cm)

S L (cm)

No of Leaf

F W (mg)

D W (mg)

Control

5.50±0.79b

7.20±0.55bc

6.33±0.33b

31.33±1.20c

0.03±0.01c

Salicylic acid

5.96±0.54b

8.40±0.60c

7.33±0.33b

33.00±1.15c

0.09±0.02d

10 ppm

2.60±0.20a

6.36±0.27ab

4.33±0.66b

25.00±2.08b

0.02±0.02b

10 ppm+sa

5.40±0.66b

8.10±0.51c

6.00±0.57ab

32.66±1.45c

0.03±0.01c

30 ppm

2.23±0.14a

5.53±0.24a

3.00±0.57a/

19.33±1.45a

0.01±0.01a

30 ppm+sa

3.33±0.18a

6.63±0.18ab

4.33±0.33a

24.66±1.45b

0.02±0.01ab

Figure 1. Effect of Salicylic Acid on Chlorophyll A Content of B.juncea L. Under Pb Stress

Note. The data are the mean of replicates with standard error bars (Duncan test; p <0.05)

< 3.6. Chlorophyll A

Lead stress had a profound impact on the chlorophyll a content in B. juncea. In this study, plants exposed to 10 ppm Pb exhibited a dramatic 65% reduction in chlorophyll a content, while those subjected to 30 ppm Pb experienced an even more severe decline of 78%, as compared to the control. Conversely, salicylic acid treatment alone resulted in 24% increase in the chlorophyll content, highlighting its growth-promoting effects. When salicylic acid was applied alongside lead stress, a partial recovery in chlorophyll levels was observed using both concentrations of lead stress. These findings underscore the protective role of salicylic acid in mitigating the adverse effects of lead stress on chlorophyll synthesis (Figure 1).

3.7. Chlorophyll B

Lead stress significantly impacted the chlorophyll b content in B. juncea. In this study, plants exposed to 10 ppm Pb exhibited 57% reduction in chlorophyll b content, while those subjected to 30 ppm Pb showed a more pronounced decline of 76%, as compared to the control. In contrast, salicylic acid treatment alone led to 30% increase in chlorophyll b content, highlighting its positive role in enhancing photosynthetic pigment levels. When salicylic acid was applied alongside lead stress, a notable recovery in chlorophyll B content was observed with both concentrations of lead. These results underscore the mitigating effect of salicylic acid in reducing the adverse impact of lead stress on chlorophyll b content (Figure 2).

Figure 2. Effect of Salicylic Acid on Chlorophyll B Content of B. juncea. Under Pb Stress

Note. The data are the mean of replicates with standard error bars (Duncan test; p <0.05)

3.8. Sugar Content

Under 10 ppm lead stress, B. juncea experienced 50% reduction in sugar content, as compared to control. However, the application of salicylic acid effectively mitigated this effect, enhancing sugar content by 10%. At the higher concentration of 30 ppm Pb, the reduction in sugar content was even more pronounced, with 66% decrease as compared to the control (Figure 3). Despite this, salicylic acid provided a protective effect, increasing sugar content with both concentrations of lead stress. Additionally, plants treated with salicylic acid alone exhibited 33% improvement in sugar content, highlighting its impact in safeguarding against lead-induced sugar depletion and supporting plant metabolism.

Figure 3. Effect of Salicylic Acid on Sugar Content of B. juncea. Under Pb Stress

Note. The data are the mean of replicates with standard error bars (Duncan test; p <0.05).

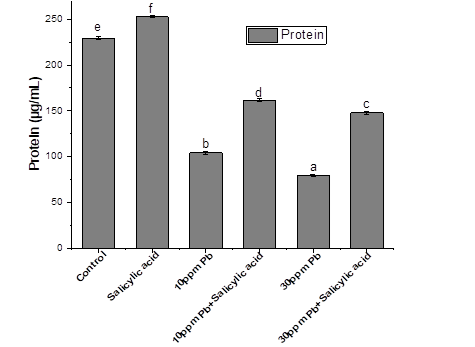
3.9. Protein Determination

Lead exposure significantly reduced the protein content in B. juncea. In this study, plants treated with 10 ppm Pb exhibited 54% decrease in protein content, while those exposed to 30 ppm Pb experienced an even greater reduction of 65%, as compared to the control group. However, salicylic acid treatment alone resulted in 40% improvement in protein content, demonstrating its positive impact on plant metabolism. When combined with lead stress, salicylic acid application also improved protein levels, indicating partial recovery and highlighting its protective effect under lead-induced stress (Figure 4).

Figure 4. Effect of Salicylic Acid on Protein Content of B. juncea. Under Pb Stress

Note. The data are the mean of replicates with standard error bars (Duncan test; p <0.05)

Figure 5. Effect of Salicylic Acid on Proline Content of Brassica juncea L. Under Pb Stress

Note. The data are the mean of replicates with standard error bars (Duncan test; p <0.05)

3.10. Proline Content

Lead exposure adversely affected the proline content in B.  juncea. The proline content of the treated plants decreased by 29% as compared to the control, when exposed to 10 ppm lead stress. The application of salicylic acid effectively increased proline levels in the treated plants. Similarly, at a higher concentration of 30 ppm Pb, proline content was reduced by 49%. However, salicylic acid foliar application resulted in remarkable improvement in proline content, highlighting its protective effect. In addition, salicylic acid treatment alone led to 30% increase in proline content, demonstrating its beneficial role in enhancing stress tolerance in B. juncea under lead exposure (Figure 5).

4. DISCUSSION

Environmental pollution from heavy metal accumulation is a global issue due to the long-term toxic effects these metals exert on ecosystems and organisms. Among key plant phenolics is salicylic acid (SA), which is found throughout the plant kingdom [19]. It plays a critical role in various physiochemical and biochemical processes, including growth regulation, stress response, and defense mechanisms [20]. Several plants have been reported to utilize salicylic acid as part of their defense strategies [21].

The current study investigated the detrimental effects of lead (Pb) toxicity on Brassica juncea L. by examining its growth parameters, such as root and shoot length, number of leaves, fresh and dry weight, as well as its biochemical content including chlorophyll pigments (chlorophyll a and b), sugar content, protein, and proline content. Also, the role of salicylic acid foliar application in controlling the drastic effects of lead toxicity in plants was evaluated.

Lead exposure significantly reduced all these parameters, with more pronounced effects at higher concentrations. However, the application of salicylic acid as foliar spray demonstrated a mitigating influence, enhancing plant resilience to lead-induced stress. These findings are comparable with the findings of previously published studies and highlight the role of salicylic acid in alleviating heavy metal stress in plants. The current study found that lead treatment caused 53% reduction in root length at 10 ppm (Pb) and 59% reduction at 30 ppm (Pb) stress. However, salicylic acid treatment showed improvement in root length, which is similar to the findings of [22]. They reported that B. juncea, when exposed to lead (20-50 ppm), experienced root length reduction of 40-65%. They also found that salicylic acid treatment improved root length by 20-30% under lead stress. Lead exposure led to 11% reduction in shoot length at 10 ppm (Pb) and 24% at 30 ppm (Pb) stress. Combined salicylic acid and lead treatment at 10 ppm and 30 ppm (Pb + SA) stress showed a remarkable improvement in shoot length. These findings are in line with the findings of [23], who reported 10-20% reduction in shoot length at 15 ppm (Pb), consistent with the current values at 10 ppm.

The above study also indicated that salicylic acid treatment improved shoot length by 5-10%. Whereas, plants exposed to 10 ppm (Pb) experienced 31% reduction in leaf number, while 30 ppm (Pb) caused 53% decrease. Combined salicylic acid and lead treatment at 10 ppm and 30 ppm (Pb + SA) showed a greater impact on leaf count, which is similar to the findings of [24]. They reported 30-50% reduction in the number of leaves under lead stress (10-30 ppm), which corresponds to the current results. Salicylic acid treatment led to 10-25% increase in leaf number, consistent with this study’s findings. Moreover, lead stress caused 20% reduction in fresh weight at 10 ppm (Pb) and 38% reduction at 30 ppm (Pb) stress. Combined salicylic acid and lead treatment improved fresh weight at 10 ppm and 30 ppm (Pb + SA), respectively. This aligns with the findings of [25]. They observed 30% decrease in fresh weight under lead stress, with salicylic acid treatment recovering fresh weight by 15-18%, consistent with the current findings. Lead stress resulted in 3% reduction in dry weight at 10 ppm (Pb) and 6% reduction at 30 ppm (Pb). Combined salicylic acid and lead treatment led to improvement both at 10 ppm and 30 ppm (Pb + SA), which is similar to the findings of [26]. They reported 4-7% decrease in dry weight under lead stress in B. juncea corresponding to the current values, while salicylic acid treatment improved dry weight by 2-3%.

Lead stress reduced chlorophyll by 36% at 10 ppm (Pb) and 43% at 30 ppm (Pb), while salicylic acid treatment improved it at both concentrations, in line with the findings of [27]. The study found that lead stress reduced chlorophyll by 35-40%, while salicylic acid improved chlorophyll content by 5-8%, similar to the current values. Moreover, lead stress caused 3% reduction in chlorophyll b at 10 ppm (Pb) and 5% reduction at 30 ppm (Pb). Whereas, salicylic acid treatment improved chlorophyll b content, consistent with the findings of [28]. They reported 5-7% reduction in chlorophyll b under lead stress, which aligns with the current findings. Lead treatment led to 55% reduction in protein content at 10 ppm (Pb) and 66% reduction at 30 ppm (Pb). Whereas, salicylic acid treatment reduced this impact at both concentrations of lead stress, showing similarity with the findings of [29]. The study reported 50-70% reduction in protein content under lead stress, which is very close to the current findings. The study found that salicylic acid treatment improved protein content by 20-30%, consistent with the data of this study. Whereas, lead stress reduced the sugar content of B. juncea under both concentrations of lead stress in the current study. Lead reduced the sugar content at 10 ppm by 50% and at 30 ppm by 66%. Similarly, salicylic acid, both combined and alone, showed remarkable improvement in the sugar content of B. juncea. This is similar to the findings of [30]. The study found that hydrilla plants exposed to lead reduced their sugar content. This decrease may be attributed to the interaction of heavy metals with ribulose-1,5-bisphosphate (RuBP), a critical component of the photosynthetic process.

Lead affected the proline content of B. juncea L. at both concentrations, that is, at 10 ppm it reduced proline concentration by 54%, while at 30 ppm it reduced proline concentration by 65%. Similarly, salicylic acid foliar application improved the proline content of B. juncea. This is consistent with the findings of [31], who reported that salicylic acid improves the proline content. These results contribute to a better understanding of the mechanisms involved in plant response to lead stress and highlight the importance of exploring bio stimulants, such as salicylic acid, to enhance the resilience of crops in contaminated environments. Unlike previous studies which focused on general stress parameters, this study integrated both morphological and selected biochemical parameters, such as chlorophyll a/b, proline, and sugar under lead concentrations with salicylic acid foliar application. The findings suggest the practical application of salicylic acid foliar spray as an agronomic strategy to manage lead contaminated soils, particularly in industrial and urban regions where B. juncea is cultivated for oilseed production. Further research is warranted to optimize such treatments and improve the sustainability of agricultural practices in polluted areas.

4.1. Conclusion

The current study confirms the effectiveness of salicylic acid foliar spray in mitigating the harmful effects of lead stress in Brassica Juncea L. by improving physiological and biochemical mechanisms. The results highlight the potential of salicylic acid as a plant growth regulator under heavy metal stress, offering an effective way to improve crop resilience in contaminated environments.

CONFLICT OF INTEREST

The authors of the manuscript have no financial or non-financial conflict of interest in the subject matter or materials discussed in this manuscript.

DATA AVAILABILITY STATEMENT

The data associated with this study will be provided by the corresponding author upon request.

FUNDING DETAILS

No funding has been received for this research.

REFERENCES

  1. Sharma P. Role and significance of biofilm-forming microbes in phytoremediation: a review. Environ Technol Innov. 2022;25:102182. https://doi.org/10.1016/j.eti.2021.102182
  2. Tchounwou PB, Yedjou CG, Patlolla AK, Sutton DJ. Heavy metal toxicity and the environment. In: Luch A, ed. Molecular, clinical and environmental toxicology: volume 3: environmental toxicology. Basel, Switzerland: Springer; 2012:133–164. https://doi.org/10.1007/978-3-7643-8340-4_6
  3. Gu YG, Ning JJ, Ke CL, Huang HH. Bioaccessibility and human health implications of heavy metals in different trophic level marine organisms: a case study of the South China Sea. Ecotoxicol Environ Saf. 2018;163:551–557. https://doi.org/10.1016/j.ecoenv.2018.07.114
  4. Li N, Euring D, Cha JY, Kim KS, Lee JH, Park SY, Jang JH, Kim KH. Plant hormone-mediated regulation of heat tolerance in response to global climate change. Front Plant Sci. 2021;11:627969. https://doi.org/10.3389/fpls.2020.627969
  5. Malar S, Vikram SS, Favas PJC, Perumal V. Lead heavy metal toxicity-induced changes on growth and antioxidative enzymes level in water hyacinths [Eichhornia crassipes (Mart.)]. Bot Stud. 2014;55:54. https://doi.org/10.1186/s40529-014-0054-6
  6. Lakra N, Tomar PC, Mishra SN. Growth response modulation by putrescine in Indian mustard Brassica juncea under multiple stress. Indian J Exp Biol. 2016;54:262–270. https://www.ncbi.nlm.nih.gov/pubmed/27295923
  7. Kroukamp EM, Wondimu T, Forbes PBC. Metal and metalloid speciation in plants: overview, instrumentation, approaches, and commonly assessed elements. Trends Analyt Chem. 2016;77:87–99. https://doi.org/10.1016/j.trac.2015.10.007
  8. Pourrut B, Shahid M, Douay F, Dumat C, Pinelli E. Molecular mechanisms involved in lead uptake, toxicity, and detoxification in higher plants. In: Gupta DK, Corpas FJ, Palma JM, eds. Heavy metal stress in plants. Berlin, Germany: Springer; 2013:1–242. https://doi.org/10.1007/978-3-642-38469-1_7
  9. Lamhamdi M, El Galiou O, Bakrim A, Yacoubi R, Ghaffari ME, Aissam S, El Mousadik A. Effect of lead stress on mineral content and growth of wheat (Triticum aestivum) and spinach (Spinacia oleracea) seedlings. Saudi J Biol Sci. 2013;20:29–36. https://doi.org/10.1016/j.sjbs.2012.09.001
  10. Ali B, Mwamba TM, Gill RA, Yang C, Duan M, Ali S, Zhou W. Improvement of element uptake and antioxidative defense in Brassica napus under lead stress by application of hydrogen sulfide. Plant Growth Regul. 2014;74:261–273. https://doi.org/10.1007/s10725-014-9917-9
  11. Kaur G, Singh HP, Batish DR, Kohli RK. Adaptations to oxidative stress in Zea mays roots under short-term Pb2+ exposure. Biologia. 2015;70:190–197. https://doi.org/10.1515/biolog-2015-0023
  12. Kushwaha A, Hans N, Kumar S, Rani R. A critical review on speciation, mobilization, and toxicity of lead in soil-microbe-plant system and bioremediation strategies. Ecotoxicol Environ Saf. 2018;147:1035–1045. https://doi.org/10.1016/j.ecoenv.2017.09.049
  13. Ahmad P, Sarwat M, Bhat NA, Wani MR, Kazi AG, Tran LSP. Alleviation of cadmium toxicity in Brassica juncea by calcium application involves various physiological and biochemical strategies. PLoS One. 2015;10(1):e0114571. https://doi.org/10.1371/journal.pone.0114571
  14. Kasim WA, Abokassem EM, Ragab GA, Sewelam NA. Alleviation of lead stress toxicity in Vigna unguiculata by salicylic acid. Egypt J Exp Biol. 2014;10(1):37–49. https://doi.org/10.21608/egyseb.2023.200231
  15. Madiha I, Bakht J, Shafi M, Rafi U. Screening of different Brassica species for phytoextraction of heavy metal from soil. Afr J Biotechnol. 2012;11:7649–7658. https://doi.org/10.5897/AJB11.3223
  16. Zhang H, Xu Z, Guo K, Huo Y, He G, Sun H, Sun G. Toxic effects of heavy metals Cd and Zn on chlorophyll, carotenoid metabolism, and photosynthetic function in tobacco leaves revealed by physiological and proteomics analysis. Ecotoxicol Environ Saf. 2020;202:110856. https://doi.org/10.1016/j.ecoenv.2020.110856
  17. Arjeh E, Khodaei SM, Barzegar M, Akbari M, Karami F, Mohammadpourfard I. Phenolic compounds of sugar beet (Beta vulgaris): separation method, chemical characterization, and biological properties. Food Sci Nutr. 2022;10(12):4238–4246. https://doi.org/10.1002/fsn3.3017
  18. Koper K, Hataya S, Hall AG, Takasuka TE, Maeda HA. Biochemical characterization of plant aromatic aminotransferases. In: Methods in enzymology. Boston, MA: Academic Press; 2023:35–83. https://doi.org/10.1016/bs.mie.2022.07.034
  19. Bates LS, Waldren RP, Teare ID. Rapid determination of free proline for water-stress studies. Plant Soil. 1973;39:205–207. https://doi.org/10.1007/BF00018060
  20. Sharma A, Kohli SK, Khanna K, Ram R, Sharma S, Bali AS, Kumar V, Bhardwaj R. Salicylic acid: a phenolic molecule with multiple roles in salt-stressed plants. J Plant Growth Regul. 2023;42(8):4581–4605. https://doi.org/10.1007/s00344-022-10902-z
  21. Boulahia K, Said CO, Abrous-Belbachir O. Exogenous application of salicylic acid improves growth and some physio-biochemical parameters in herbicide-stressed Phaseolus vulgaris. Gesunde Pflanzen. 2023;75(6):2301–2318. https://doi.org/10.1007/s10343-023-00878-5
  22. Spoel SH, Dong X. Salicylic acid in plant immunity and beyond. Plant Cell. 2024;36(5):ekoad329. https://doi.org/10.1093/plcell/koad329
  23. Gupta DK, Huang HG, Corpas FJ, Palma JM. Lead tolerance and toxicity in plants: role of ascorbate, glutathione, and phytochelatins in detoxification processes. J Hazard Mater. 2009;170(2-3):513–520. https://doi.org/10.1016/j.jhazmat.2009.05.075
  24. Jahan A, Qaiser M, Khan MR. Salicylic acid mitigates lead-induced stress by improving chlorophyll and carotenoid contents and antioxidant activity in mustard plants (Brassica juncea). Ecotoxicology. 2016;25(3):630–642. https://doi.org/10.1007/s10646-016-1626-7
  25. Khan MIR, Khan NA, Asgher M. Salicylic acid mitigates the adverse effects of lead toxicity in Brassica juncea. Environ Sci Pollut Res. 2015;22(7):5180–5193. https://doi.org/10.1007/s11356-014-3837-5
  26. Kumar V, Rani S, Raghav R. Effect of salicylic acid on lead toxicity in Brassica juncea. Int J Plant Anim Environ Sci. 2012;2(1):146–150. https://www.ijpaes.com/index.php?option=com_content&view=article&id=212
  27. Mishra A, Kaur H, Singh P. Effect of lead on growth and biochemical parameters of Brassica juncea. Int J Environ Sci. 2016;6(2):438–447. https://www.indianjournals.com/ijor.aspx?target=ijor:ijes&volume=6&issue=2&article=014
  28. Rastgoo M, Alemzadeh A. The effect of lead on the chlorophyll content and growth characteristics of Brassica juncea. J Environ Biol. 2011;32(4):491–494. https://www.ncbi.nlm.nih.gov/pubmed/22319863
  29. Nazar R, Iqbal N, Saqib M, Khan NA. Salicylic acid alleviates lead-induced oxidative stress in Brassica juncea. Environ Exp Bot. 2011;72(3):344–352. https://doi.org/10.1016/j.envexpbot.2011.04.008
  30. Gautam A, Dubey RS. Metal toxicity in plants: induction of oxidative stress, antioxidative defense system, metabolic alterations, and phytoremediation. Mol Physiol Abiotic Stress Plant Prod. 2018:256–290. https://www.researchgate.net/publication/326644819