Clinical & Counselling Psychology Review (2025) 7:2
Review Open Access

Callous-unemotional Traits and Cyberbullying among Adolescents: Role of Perceived Anonymity

DOI:

ORCIDHamail Tahir* , ORCIDSyeda Rabia Sakina , and ORCIDMaham Ishrat

Department of Psychology, Riphah International University, Gulberg Green Campus, Rawalpindi, Pakistan

Abstract

This research was intended to investigate the relationship between callous-unemotional (CU) traits (callousness, unemotional, and uncaring) and cyberbullying among adolescents. Moreover, the study also examined how the perceived anonymity affects this relationship through a cross-sectional research design. The study enrolled 400 students, using convenience sampling strategy, between the age of 12 to 19 years. The sample included n = 207 males and n = 193 females. TInventory of Callous-unemotional (CU) Traits, Cyberbullying Scale, and Perceived Anonymity Scale. The findings revealed that CU traits were significantly and positively associated with cyberbullying among adolescents and perceived anonymity moderated the relationship. Results showed that males were more indulged in CU traits and cyberbullying than females. The findings also revealed characteristics associated with CU traits and how these characteristics increase adolescents’ risk of cyberbullying. The purpose of the study was to understand the psychological and behavioral mechanisms that contribute to harmful online behaviors and to guide prevention and intervention efforts. The study proposed recommendations to conduct intervention programs in order to change adolescents’ beliefs about their actions in cyberspace.

Keywords:adolescents, callousness, cyberbullying, perceived anonymity, unemotional traits

*Corresponding author: [email protected]

Published: 31-12-2025

1. INTRODUCTION

This study aimed to investigate three key constructs: Callous–unemotional (CU) traits , cyberbullying , and perceived anonymity . CU traits, as an independent variable, describes adolescent’s tendencies to low empathy, reduced guilt, and limited emotional expression (Frick, 2014). Cyberbullying, as the dependent variable, refers to deliberate aggressive behavior carried out through digital platforms (Tokunaga, 2010). Perceived anonymity serves as the moderating variable and reflects the extent to which adolescents feel their online identity is hidden and unidentifiable to other online users (Suler, 2004). The study explored how perceived anonymity influences the relationship between CU traits and cyberbullying among adolescents.

The upsurge of cyberbullying among adolescents has now become a growing concern, especially with the increasing use of digital communication in school, college and university environments. Unlike traditional forms of bullying, cyberbullying takes place in online spaces where individuals can hide their identity, making such behaviors harder to detect and address. One major psychological factor linked to this behavior is the presence of CU traits, which are marked by a lack of empathy, emotional insensitivity, and disregard for others’ feelings. Recent studies have shown that adolescents who exhibit higher levels of CU traits are more likely to engage in cyberbullying, regardless of other behavioral issues. For instance, findings from European and Southeast Asian contexts indicate a significant association between CU traits and aggressive online behavior among high school and college-aged students (Fanti, 2021; Yang, 2023; Zulfiqar, 2021).

The effect becomes stronger when online disinhibition reduces social restraints, making it easier to act without empathy or guilt. This is especially applicable for adolescents with CU traits, who already show limited concern for others. Online disinhibition and CU traits may increase the risk of cyberbullying behaviors. According to a research, individuals who reported higher deviant peer affiliation were more likely to bully online, online disinhibition moderated the relationship between deviant peer affiliation and adolescence cyberbullying tendencies (Yang, 2023).

In addition, the concept of perceived anonymity plays a critical role in online aggression. When individuals believe their identity is hidden or untraceable, they might feel less accountable for their actions. This reduction in perceived social consequences can lower self-restraint, particularly among those who already show limited concern for others (Zhu, 2022). A study indicates that moral disengagement and perceived anonymity are seen as strong predictors of cyberbullying. This highlights the tendencies to rationalize harmful online behaviors when individuals feel detached from moral and social constraints. Online disinhibition also emerged as a key factor showing that individuals who feel controlled in online spaces are more likely to engage in aggressive behaviors online (Kunhao, 2024).

Research supports the idea that the perception of being anonymous online contributes to a higher likelihood of cyberbullying, among adolescents with existing emotional and moral deficits (Zhu, 2022). These dynamics are especially relevant to the school, college, and university setting, where young people interact independently online and often without direct supervision.

Perceived anonymity enhances individuals’ cyberbullying tendency. It also enhances online disinhibition and thus increases an individual’s cyberbullying behavior. According to Zhao (2024), this study was guided by John Suler’s online disinhibition effect , which explains how anonymity and reduced accountability in digital environments can lead individuals to behave in ways they would not offline. Using this framework, the research examined how CU traits relate to cyberbullying behavior , and how perceived anonymity may strengthen this relationship among adolescents. Online disinhibition effect theory presented by Suler (2004) supports the study. This is because it suggests that anonymity helps individuals to behave diffidently online, which ultimately leads to increased aggression and indulgence in cyberbullying. Perceiving oneself as anonymous online lowers social restraints, and allows individuals to engage in cyberbullying. Individuals with CU traits are more likely to be linked with aggression and cyberbullying and perceiving anonymous increased the likelihood of being involved in cyberbullying. A study suggested that the increases in uncaring were more associated with self-reported non-anonymous and anonymous cyberbullying at higher levels of online disinhibition, and how CU traits increase the likelihood of adolescents’ risk of online cyberbullying (Wright, 2019).

Based on this framework, the current study investigated the connection between CU traits and cyberbullying among adolescents. It also explored how perceived anonymity may strengthen this relationship. Through Online Disinhibition Effect theory, the study aimed to offer a deeper understanding of the psychological processes behind cyberbullying and inform future prevention strategies that consider both individual differences and the influence of online environments.

Research Objectives

The current study aimed to address the following research objectives:

  • To examine the relationship between CU traits (callousness, unemotional and uncaring traits), cyberbullying, and perceived anonymity among adolescents.
  • To identify the predictors of cyberbullying.
  • To investigate the moderating role of perceived anonymity and gender between CU traits (callousness, unemotional an uncaring traits) and cyberbullying.
  • To examine the role of gender with study variables.
Hypotheses
  • There would be a positive relationship between CU traits (callousness, unemotional, and uncaring) and cyberbullying among adolescents.
  • The CU traits (callousness, unemotional, and uncaring) would predict cyberbullying.
  • Perceived anonymity would moderate the relationship between CU traits (callousness, unemotional, and uncaring traits) and cyberbullying among adolescents.
  • Gender would moderate the relationship between CU traits (callousness, unemotional, and uncaring traits) and cyberbullying among adolescents, with a stronger association observed in males.
  • Males would score higher on CU traits and cyberbullying compared to females.

Method

Research Design

This study employed a cross-sectional research design. A quantitative approach was used to examine the relationships between CU traits, perceived anonymity, gender, and cyberbullying among adolescents from higher schools, colleges and universities.

Sample of the Study

The study used a purposive sampling technique to select adolescents from higher schools, colleges and universities. The study sample was recruited from both public and private institutes where medium of study was English. All the enrolled participants were internet user and were using internet for both academic and socialization purposes. None of the students was suffering from any physical or psychological illness.

Table 1

Descriptive Statistics for Demographic Variables of Study (N= 400)

Demographic

M(SD)

f (% )

Demographic

f (% )

Age (years)

17.16(1.90)

 

 

 

Gender

 

 

Forms of Cyberbullying

Male

 

207(51.7)

Nasty messages

368(92.1)

Female

 

193(48.3)

Prank calls

242(60.5)

Education

 

 

Threats on comments

84(21.0)

High School & Intermediate

241(60.3)

Doxing

37(9.3)

Bachelors

 

159(39.7)

State Behaviors if Cyberbullied Someone?

Time Spent on Social Media

Body shaming and dissing

28(7.0)

4 hours-8 hours

 

254(63.5)

Abusive comments

33(8.3)

10 hours-24 hours

 

146(36.5)

Hacking account / fraping

45(11.3)

Ever been cyberbullied?

270(67.5)

Online trolling/roasting

64(16.0)

Ever cyberbullied someone?

370(92.5)

Doxing

41(10.3)

Measures Inventory of Callous-unemotional (CU) Traits

English version of Inventory of CU Traits- Youth Version (Frick, 2004) was used to analyze the unemotional traits among adolescents. All items were in Likert-type arrangement with 0 (Not at all true) to 3 (definitely true). There were total 24 items in this scale. Reactions closer to (0) in positively worded items showed higher levels of CU traits. Reactions closer to (3) in negatively worded items showed higher levels of CU traits (Ray, 2006 ). Internal consistency for the total ICU-Youth (Frick, 2004) was α = 0.76.

Cyberbullying Scale

The cyberbullying scale developed by Stewart (2014), is a 5-point Likert type scale, 0 (Never) to 4 (All the time) was used to analyze the cyberbullying behavior of adolescents in the current study. The instrument estimates two kinds of actions used to bully others (physical and social). In total, 14 items were utilized to access cyberbullying. Reactions close to (0) characterized small amounts of cyberbullying, while scores closer to (4) represented recurrent quantities of cyberbullying. The reliability of the scale was α = .89.

Perceived Anonymity Scale

The perceived anonymity scale was developed by Hite (2014). It is a 7-point Likert-type scale, ranging from 1 (strongly disagree) to 7 (strongly agree). Reactions closer to 1 characterized small amounts of being perceived anonymous, while scores more like to 7 represented recurrent quantities of perceived anonymous. In perceived anonymity scale, three items are reverse coded (item 6, 7, and 8). The reliability of the instrument was (α .90) (Hite, 2014). Higher score on the scale indicates higher levels of perceived anonymity.

Procedure

The data was collected with the permission of concerned authorities at the respective institutes, after taking formal prior permission from the authors of all scales. Scales with informed consent were administered to respondents. All concerned information was provided to the participants during the administration of assessment measures. It was made sure that all the participants understood the instructions.  

Ethical Considerations

The current study assured the participants that the information provided by them would be kept confidential. All participants were informed about the purpose of the study and were asked to sign an informed consent form before taking part in the study. They were assured that their participation would be voluntary, and their data would remain confidential. Participants were also informed that they could withdraw at any time without any consequences

Results

The current study explored the relationship between CU traits and cyberbullying among adolescents as well as the moderating role of perceived anonymity. Psychometric properties of the instruments and Pearson correlation were done to analyze the results.

Table 2

Descriptive Statistics for the Scales of CU Traits, Cyberbullying, Perceived Anonymity (N=400)

Variables

k

α

M

SD

Range

Skew

Kurtosis

Potential

Actual

Callous Unemotional Traits

24

.76

62.19

11.32

0-72

9-69

-2.03

2.71

Callousness

11

.63

25.18

5.90

0-33

1-30

-1.61

1.60

Uncaring

8

.73

23.06

3.87

0-24

3-24

-2.07

1.33

Unemotional

5

.65

13.95

2.38

0-15

1-15

-1.00

1.55

Perceived Anonymity

10

.88

33.93

3.93

10-70

28-56

-2.03

2.01

Cyberbullying

16

.89

50.79

3.89

0-64

14-37

-1.30

2.27

Table 2 shows mean, standard deviation, kurtosis, skewness, and alpha coefficient values for all the scales (Inventory of Callous Unemotional Traits, The Cyberbullying Scale, and Perceived Anonymity Scale) and subscales of Inventory of Callous Unemotional Scale (Callousness Traits, Uncaring Traits, and Unemotional traits). The reliability analysis shows that the scales and the subscales have excellent alpha coefficients ranging from .63 (the lowest) to .89 (maximum). These reliability estimates demonstrate the internal consistency of all the instruments chosen for this study and support the operationalization of the research constructs. The value of Kurtosis and skewness demonstrates that the data is normally distributed and also falls within a reasonable range.

Table 3

Bivariate Correlation between the Study Variables (N= 400)

 

2

3

4

5

6

1 Callous Unemotional Traits

.93***

.91***

.97***

.88***

.86***

2 Callousness

-

.70***

.83***

.91***

.84***

3 Uncaring

 

-

.95***

.69***

.73***

4 Unemotional

 

 

-

.84***

.82***

5 Cyberbullying

 

 

 

-

.79***

6 Perceived Anonymity

 

 

 

 

-

Note. *** p<.001.

Table 3 indicates that CU traits are significantly positively correlated with its subscale’s callousness, uncaring traits, and unemotional traits. Results reveal that CU traits are significantly correlated with cyberbullying and perceived anonymity. Similar pattern of correlation is apparent for the subscales of CU traits.

Table 4

Stepwise Regression Sowing the Role of CU Traits (Callousness, Uncaring, and Unemotional) in Predicting Cyberbullying (N= 400)

 

B

SE

R2

F

95%CI

 

LL

UL

Step 1

 

 

 

 

 

 

Constant

18.7***

.37

 

 

18.

19.43

Callousness

.60***

.01

.82

1837.82***

.58

.63

Step 2

 

 

 

 

 

 

Constant

15.99***

.46

 

 

15.09

16.90

Callousness

.44***

.02

.85

1125.04***

.40

.49

Unemotional

.49***

.06

 

 

.38

.60

Step 3

 

 

 

 

 

 

Constant

16.65***

.40

 

 

15.86

17.45

Callousness

.32***

.02

.88

1041.58***

.27

.36

Unemotional

1.87***

.13

 

 

1.61

2.12

Uncaring

.72***

.06

 

 

-.85

-.60

Note. ***p<.001

Table 4 indicates the results of step wise regression analysis. The strongest predictor was callousness which accounted for 82% variance in step 1. Second predictor was unemotional traits which explained 3% additional variance in the second step. Uncaring traits emerged as a predictor in step 3 accounting for an additional 3% variance. In all these, three variables explained 88% variance in cyberbullying. Perceived anonymity was excluded from SPSS.

Table 5

Moderating Role of Perceived Anonymity in Relationship between Callous Unemotional Traits and Cyberbullying (N=400)

Predictors

B

SE

95% CI

LL

UL

Constant

33.31***

.08

33.16

33.47

Callous Unemotional Traits

.32***

.01

.30

.35

Perceived Anonymity

.47***

.04

.39

.55

Interaction CU × PA

.02***

.00

.01

.01

R2

.87

 

 

 

F

894.53***

 

 

 

Note. ***p<.001

In Table 5, moderation test was carried out, with CU traits as a predictor, cyber bullying as the dependent variable, and perceived anonymity as a moderator. The relationship between CU traits and cyberbullying was strongest at highest levels of perceived anonymity.

Figure 1

Moderating Effects of Perceived Anonymity on Callous Unemotional Traits (CU) and Cyberbullying (N = 400)

Figure 1 shows graph for the moderating role of perceived anonymity on the relationship between CU traits and cyberbullying. Mod graph shows that at low perceived anonymity the line is much steeper which shows the effect of independent variable, that is, CU traits on dependent variable, such as cyberbullying is stronger. The line for high perceived anonymity is again steeper, so it means on high levels of perceived anonymity the effect of (IV) CU traits is very stronger on (DV) cyberbullying. The relationship between CU traits and cyberbullying was strongest at highest levels of perceived anonymity. 

Table 6

Moderating Effect Perceived Anonymity on the Relationship between Callousness and Cyberbullying (N = 400)

Predictors

B

SE

95% CI

LL

UL

Constant

33.72***

.10

33.53

33.90

Callousness

.52***

.03

.47

.57

Perceived Anonymity

.28***

.06

.17

.39

Interaction Cc × PA

.01***

.00

.01

.02

R2

.83

 

 

 

F

656.63***

 

 

 

Note. ***p<.001

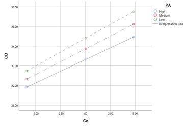
Figure 2

Moderating Effects of Perceived Anonymity in the Relationship between Callousness and Cyberbullying (N = 400)

In Table 6 moderation test was carried out, with callousness as a predictor, cyber bullying as the dependent variable, and perceived anonymity as a moderator. A significant main effect was apparent between callousness and cyber bullying (p <.001). Similarly, significant main effect was apparent between perceived anonymity and cyberbullying (p <.001). Additionally, a significant interaction effect by perceived anonymity on callousness and cyberbullying (p <.001) was evident thereby, confirming the moderating role of perceived anonymity in relationship between callousness and cyberbullying.

Figure 2 shows graph for the moderating role of perceived anonymity on the relationship between callousness and cyberbullying. Mod graph shows that at low perceived anonymity the line is much steeper which shows the effect of independent variable, that is callousness, on dependent variable, such as cyberbullying is stronger. The line for high perceived anonymity is again steeper, so it means on high levels of perceived anonymity the effect of (IV) callousness is very stronger on (DV) cyberbullying. The relationship between callousness and cyberbullying was strongest at highest levels of perceived anonymity. 

Table 7

Moderating Effect of Perceived Anonymity on the Relationship between Uncaring Traits and Cyberbullying (N = 400)

Predictors

B

SE

95 % CI

LL

UL

Constant

33.19***

.11

32.98

33.39

Uncaring

.71***

.05

.62

.81

Perceived Anonymity

.98***

.04

.90

1.06

Interaction Uc × PA

.07***

.00

.06

.08

R2

.77

 

 

 

F

462.54***

 

 

 

Note. ***p<.001

Table 7 shows the moderation analysis, with uncaring as a predictor, cyber bullying as the dependent variable, and perceived anonymity as a moderator. A significant main effect was apparent between uncaring and cyber bullying (p <.001). Similarly significant main effect was apparent between perceived anonymity and cyberbullying (p <.001). Additionally, a significant interaction effect by perceived anonymity on uncaring and cyberbullying (p <.001) was evident thereby, confirming the moderating role of perceived anonymity in relationship between uncaring traits and cyberbullying. It was found that participants who reported higher levels of perceived anonymity experienced a greater effect of uncaring tendencies on cyberbullying.

Figure 3

Moderating Effects of Perceived Anonymity in the Relationship between Uncaring traits and Cyberbullying (N = 400)

Figure 3 shows graph for the moderating role of perceived anonymity on the relationship between uncaring traits and cyberbullying. Mod graph shows that at low perceived anonymity the line is much steeper which shows the effect of independent variable, that is, uncaring traits on dependent variable, such as cyberbullying is stronger. The line for high perceived anonymity is again steeper, so it means on high levels of perceived anonymity the effect of (IV) uncaring traits is very stronger on (DV) cyberbullying. The relationship between uncaring traits and cyberbullying was strongest at highest levels of perceived anonymity. 

Table 8

Moderating Effect of Perceived Anonymity on the Relationship between Callous Unemotional (CU) Traits and Cyberbullying (N = 400)

Predictors

B

SE

95% CL

LL

UL

Constant

33.25***

.09

33.08

33.42

Unemotional

1.40***

.06

1.27

1.52

Perceived Anonymity

.69***

.04

.61

.77

Interaction Ue × PA

.09***

.01

.08

.10

R2

.85

 

 

 

F

737.42***

 

 

 

Note. ***p<.001

Table 8 illustrates the moderation analysis, with unemotional as a predictor, cyber bullying as the dependent variable, and perceived anonymity as a moderator. A significant main effect was apparent between unemotional and cyber bullying (p <.001). Similarly, significant main effect was apparent between perceived anonymity and cyberbullying (p <.001). Additionally, a significant interaction effect by perceived anonymity on unemotional and cyberbullying (p <.001) was evident thereby, confirming the moderating role of perceived anonymity in relationship between unemotional traits and cyberbullying. It was found that participants who reported higher levels of perceived anonymity experienced a greater effect of unemotional tendencies on cyberbullying.

Figure 4

Moderating Effects of Perceived Anonymity in the Relationship between Unemotional Traits and Cyberbullying (N = 400)

Figure 4 shows graph for the moderating role of perceived anonymity on the relationship between unemotional traits and cyberbullying. Mod graph shows that at low perceived anonymity the line is much steeper which shows the effect of independent variable, that is, unemotional traits on dependent variable, such as cyberbullying is stronger. The line for high perceived anonymity is again steeper, so it means on high levels of perceived anonymity the effect of (IV) unemotional traits is very stronger on (DV) cyberbullying. The relationship between unemotional traits and cyberbullying was strongest at highest levels of perceived anonymity. 

Table 9

Moderating Effect of Gender on the Relationship between Callous Unemotional (CU) Traits and Cyberbullying (N = 400)

Predictors

B

SE

95%CI

LL

UL

Constant

33.58***

.08

33.43

33.72

ICU

.27***

.01

.26

.29

Gender

-2.27***

.15

-2.56

-1.97

Interaction ICU× Gender

.14***

.01

-.16

-.11

R2

.89

 

 

 

F

1030.42***

 

 

 

Note. ***p<.001

Figure 5

Moderating Effects of Gender in the Relationship between Unemotional Traits and Cyberbullying (N = 400)

Table 9 illustrates the moderation analysis, with CU traits as a predictor, cyber bullying as the dependent variable, and gender as a moderator. A significant main effect was apparent between CU traits and cyber bullying (p <.001). Similarly, significant main effect was apparent between gender and cyberbullying (p <.001). Additionally, a significant interaction effect by gender on CU traits and cyberbullying, b= .13, p= <.001 was evident thereby, confirming the moderating role of gender in relationship between CU traits and cyberbullying. It was found that gender emphasizes a greater effect of callous unemotional tendencies on cyberbullying.

Figure 5 shows graph for the moderating role of gender in the relationship between CU traits and cyberbullying. Mod graph shows that the relationship between CU traits and cyberbullying is dependent on gender. The line is much steeper for males. This shows that the males are more involved in the relationship between CU traits and cyberbullying. Males who have callous unemotional tendencies are more inclined towards cyberbullying. The relationship between CU traits and cyberbullying was strongest in males.

Table 10

Group Comparison Across Gender for Study Variables (N=400)

Variables

Male

n=207

Female

n=193

t (398)

p

95% Cl

Cohen’s d

M

SD

M

SD

LL

UL

Callous Unemotional Traits

67.25

8.95

56.75

11.08

10.46

.000

8.53

12.47

1.04

Callousness

29.35

3.53

20.71

4.45

21.55

.000

7.86

9.44

2.15

Uncaring

23.32

3.47

22.77

4.25

1.41

.158

-0.21

1.31

0.14

Unemotional

14.58

2.13

13.28

2.45

5.69

.000

0.85

1.76

0.57

Perceived Anonymity

52.51

2.96

48.94

3.93

10.31

.000

2.89

4.26

1.03

Cyberbullying

36.39

3.15

31.30

2.83

16.98

.000

4.50

5.68

1.70

Table 10 shows the results of the independent sample t-test, indicating the mean difference between the genders of participants with respect to the study variables. Findings indicate that males scored higher than females on CU traits (p<.001), subscales (callousness, uncaring traits, and unemotional traits), perceived anonymity, and cyberbullying in comparison to females. The difference remained significant for all the variables except for uncaring (p> .05).

Discussion

The current study investigated the relationship between CU traits and cyberbullying among adolescents. Moreover, it also analyzed the moderating role of perceived anonymity. The findings indicated that CU traits and cyberbullying behavior showed a positive relationship. This relationship was strongly moderated by perceived anonymity, which remarkably increases the likelihood of indulging in online aggression. Research conducted within the cultural context where adolescents are shaped by collectivistic values, strong family expectations, and limited freedom, the results are particularly meaningful. In such environments, emotional difficulties are overlooked, while online platforms offer adolescents a special sense of autonomy and invisibility. This cultural impact may intensify the role of perceived anonymity, making it a powerful mechanism through which adolescents with higher CU traits are more vulnerable to cyberbullying. It is supported with research which suggests that individuals who exhibit traits, such as lack of empathy, emotional coldness, and disregard for others are more likely to engage in cyber-aggressive behaviors (Fanti, 2021). This reinforces the idea that CU traits are a core predictor of antisocial behavior during adolescence. As adolescents undergo emotional and social development, those with elevated CU traits may show reduced responsiveness to the emotional consequences of their actions, making them more inclined to aggressive acts, such as cyberbullying.

The general aggression model (GAM) offers a useful theoretical framework to interpret these results. According to the GAM, individual factors (like personality traits) and situational inputs (like online anonymity) influence a person's internal state, including thoughts, feelings, and arousal which, in turn, affects their behavioral responses. In the context of this study, CU traits acted as an inclined input that favored adolescents towards interpreting online interactions as hostile or unimportant, thereby justifying aggression. The reduced emotional reactivity in individuals with CU traits can hinder empathy and moral reasoning, increasing the likelihood of cyberbullying behavior (Anderson & Bushman, 2002)

Online disinhibition provides a context where the CU traits and cyberbullying are readily expressed. It is because factors, such as perceived anonymity and the idea about absence of social consequences lower the internal or external barriers of aggression. Online environments provide a feeling of detachment from reality, leading to freedom of social norms and moral obligations. Individuals with high online disinhibition as well as with CU traits are more certainly involved in cyberbullying (Wang, 2022).

The study also found that perceived anonymity significantly moderated the relationship between CU traits and cyberbullying. Adolescents who believed that they were unidentifiable in online spaces were more likely to act on their aggressive tendencies. Anonymity may reduce the perceived risk of punishment and social disapproval, as GAM suggests. Moreover, it may also lower the inhibitory control over aggressive impulses. For adolescents high in CU traits, anonymity may act as a stimulus, weakening social constraints and facilitating harmful behaviors towards others online. This interaction between personality traits and situational factors strongly supports the GAM's proposition that aggression results from a dynamic combination of personality and environment (Kunhao, 2024).

Gender differences also emerged in the findings. Male adolescents scored higher on both CU traits and cyberbullying as compared to females, which is consistent with prior literature. This can be explained by gender socialization, where males are often encouraged to display dominance, competitiveness, and emotional suppression, all of which may interact with CU traits to increase the likelihood of aggression. Additionally, male adolescents may be more drawn to risk-taking and thrill-seeking behaviors, which are often expressed through online aggression where anonymity lowers the threat of consequences (Foody, 2019).

Additionally, adolescents engage in cyberbullying in order to gain status or asserting dominance within their peer groups. This aligns with research suggesting that callousness is linked to agentic goals, a drive for power and recognition particularly among youth with limited concern for others’ emotions. These traits may also reflect a broader antisocial profile that includes manipulativeness, impulsivity, and emotional detachment, making cyberbullying a convenient and accessible outlet, especially when boredom or frustration is present (Hensums, 2023).

The findings emphasize the importance of addressing both internal dispositions (such as callous unemotional traits) and external conditions (such as anonymity) in efforts to understand and reduce cyberbullying. By applying the GAM, this study not only reinforced the existing theoretical perspectives but also extended them by highlighting how anonymity intensifies the risk posed by CU traits. Given the emotional and behavioral vulnerabilities of adolescents, interventions should focus on developing emotional regulation skills, empathy training, and digital responsibility. Moreover, gender specific prevention strategies are necessary to address the distinct ways in which males and females experience and express aggression in online environments.

According to Pakistani cultural context, lack of empathy is playing a significant role in predicting cybercrimes among adults. The implementation of laws related to cybercrime is poor and, usually, no punishment is granted to the adults who engage in such cybercrime activities (Baig, 2023).

Conclusion

Overall, the findings of the current study supported the prior researches emphasizing the need for early identification and targeted intervention strategies that focus on emotional development, empathy training, and digital responsibility. Addressing CU traits within in academic institutes through mental health programs may reduce the incidence of cyberbullying and promote the healthier peer relationship in digital environments. In Pakistani culture, social norms and a strong family system stops adolescents to show aggressive behaviors. So, when adolescents feel themselves anonymous while in cyber space, they get the opportunity to engage in aggressive behaviors online.

Strengths and Limitations
  • The sample included only adolescent students, which limits generalizability to other student groups.
  • Participants were selected only from the twin cities, further narrowing the sample’s reach.
  • The highly significant correlation values observed among study variables might be due to the sample age or common method bias as the data was based on the self-reported measures.
  • Despite these limitations, the findings can guide future assessment, intervention practices, and prevention strategies.

Author Contribution

Hamail Tahir: conceptualization, data curation, formal analysis, writing – original draft. Syeda Rabia Sakina: data curation, writing – review & editing. Maham Ishrat: data curation, writing – review & editing.

Conflict of Interest

The authors of the manuscript have no financial or non-financial conflict of interest in the subject matter or materials discussed in this manuscript.

Data Availability Statement

The data associated with this study will be provided by the corresponding author upon request.

Funding Details

No funding has been received for this research.

Generative AI Disclosure Statement

The authors did not used any type of generative artificial intelligence software for this research.

REFERENCES

Anderson, C. A., & Bushman, B. J. (2002). Human aggression. Annual Review of Psychology, 53(1), 27–51. https://doi.org/10.1146/annurev.psych.53.100901.135231

Baig, K., Salman, M., & Ayyaz, S. (2023). Social media fostering cyberbullying among adults in Pakistan: Role of lack of empathy. Bulletin of Business and Economics, 12(3), 565–600. https://doi.org/10.61506/01.00074

Fanti, K. A., Demetriou, C. A., & Kimonis, E. R. (2021). Callous-unemotional traits as a prospective risk factor for cyberbullying: Evidence from a school-based study. Journal of Adolescence, 87, 53–61. https://doi.org/10.1016/j.adolescence.2020.12.008

Foody, M., McGuire, L., Kuldas, S., & Norman, J. O. (2019). Friendship quality and gender differences in association with cyberbullying involvement and psychological well-being. Frontiers in Psychology, 10, Article e1723. https://doi.org/10.3389/fpsyg.2019.01723

Frick, P. J. (2004). The Inventory of Callous-Unemotional Traits. New Orleans, LA: The University of New Orleans.

Frick, P. J., Ray, J. V., Thornton, L. C., & Kahn, R. E. (2014). Can callous-unemotional traits enhance the understanding, diagnosis, and treatment of serious conduct problems in children and adolescents? A comprehensive review. Psychological Bulletin, 140(1), 1–57. https://doi.org/10.1037/a0033076

Hensums, M., Brummelman, E., Larsen, H., van den Bos, W., & Overbeek, G. (2023). Social goals and gains of adolescent bullying and aggression: A meta-analysis. Developmental Review, 68, Article e101073. https://doi.org/10.1016/j.dr.2023.101073

Hite, D. M., Voelker, T., & Robertson, A. (2014). Measuring perceived anonymity: The development of a context independent instrument. Journal of Methods and Measurement in the Social Sciences, 5(1), 22–39. https://doi.org/10.2458/v5i1.18305

Kunhao, Z., Ma'rof, A. A., & Abdullah, H. (2024). The role of moral disengagement, anonymity perception, online disinhibition, and empathy in predicting cyberbullying perpetration among Chinese young Adults. International Journal of Academic Research in Business and Social Sciences, 14(12), 1114–1127. http://dx.doi.org/10.6007/IJARBSS/v14-i12/24048

Stewart, R. W., Drescher, C. F., Maack, D. J., Ebesutani, C., & Young, J. (2014). The development and psychometric investigation of the Cyberbullying Scale. Journal of Interpersonal Violence, 29(12), 2218–2238. https://doi.org/10.1177/0886260513517552

Suler, J. (2004). The online disinhibition effect. Cyberpsychology & Behavior, 7(3), 321–326. https://doi.org/10.1089/1094931041291295

Tokunaga, R. S. (2010). Following you home from school: A critical review and synthesis of research on cyberbullying victimization. Computers in Human Behavior, 26(3), 277–287. https://doi.org/10.1016/j.chb.2009.11.014

Wang, X., Qiao, Y., Li, W., & Dong, W. (2022). How is online disinhibition related to adolescents' cyberbullying perpetration? Empathy and gender as moderators. The Journal of Early Adolescence, 42(5), 704–732. https://doi.org/10.1177/02724316211064515

Wright, M., Harper, B., & Wachs, S. (2019). The associations between cyberbullying and Callous-unemotional traits among adolescents: The moderating effect of online Disinhibition. Personality and Individual Differences, 140, 41–45. https://doi.org/10.1016/j.paid.2018.04.001

Yang, X., Zhu, L., & Cheng, Y. (2023). Callous–unemotional traits and cyber aggression in adolescents: The mediating role of moral disengagement. Frontiers in Psychology, 14, Article e1166210. https://doi.org/10.3389/fpsyg.2023.1166210

Zhao, Z. (2024, July 19–21). The effect of perceived anonymity on cyberbullying. In 2024 8th International Seminar on Education, Management and Social Sciences (ISEMSS 2024), Harbin, China, Atlantis Press. https://doi.org/10.2991/978-2-38476-297-2_104

Zhu, C., Huang, S., & Li, X. (2022). Perceived anonymity, moral disengagement, and cyberbullying: A moderated mediation model. International Journal of Environmental Research and Public Health, 19(2), Article e637. https://doi.org/10.3390/ijerph19020637

Zulfiqar, A., Santoso, T., & Kusumadewi, I. (2021). Callous unemotional traits and cyberbullying in adolescents. Intuisi, 13(1), 1–10. https://doi.org/10.15294/intuisi.v12i1.20458