Scientific Inquiry and Review (2025) 9:1
Review Open Access

Tracing of the Chemical Signatures of Various Flammable Liquids from Common Crime Scene Substrates

DOI:

Mudassar Baig1*, Muhammad Amjad2, Muhammad Riaz2, and Shabbir Hussain3

1Department of Chemistry, Faculty of Basic Science, Balochistan University of Information Technology, Engineering and Management Sciences, Quetta, Pakistan

2Institute of Science, Universiti Technologi Mara (UiTM), Selengor, Malaysia

3Shifa College of Pharmaceutical Sciences, Shifa Tameer-e-Millat University, Islamabad, Pakistan

Abstract

The need to synthesise metal nanoparticles has emerged in recent years due to their wide range of applications in various biological activities. This study reports a facile and rapid synthesis of biogenic lanthanum nanoparticles using Polygonum minus leaf extract as reducing agent. The reduction of La+3 to elemental La rapidly occured and was completed within 10 minutes at room temperature. Moreover, the size of nanoparticles is higly sensitive to leaf extract concentration and pH. The synthesized nanoparticles were characterized using Fourier transform infra-red (FT-IR), energy dispersive X-ray diffraction (EDX), field emission scanning electron microscopy (FE-SEM), powder X-ray diffraction (PXRD), and UV-Visible (Uv-Vis) spectroscopy. The FTIR analysis of the La2O3 NPs confirmed the presence of characteristic La-O band at 614 cm-1. The band of La2O3 NPs was observed in the range of 300-400 nm in Uv-Vis spectrum, which further affirmed its successful synthesis. The EDAX analysis confirmed the presence of La in the produced nanoparticles. FESEM showed them as elongated rod-like structure with a uniform particle size of about 343 nm, determined by image J software and confirming their rod-like morphology. The virtual broad band in the XRD pattern revealed the lack of a periodic crystal structure, implying that the produced nanoparticles were entirely amorphous. The TG-DTA results showed their thermal stability. Further, the nanoparticles were subjected to antioxidant activity using DPPH assay. The results revealed that La2O3 NPs exhibited 28.3% inhibition. The synthesized nanoparticles open new frontiers for various other biological applications.

Keywords:antioxidant activity, biogenic, La2O3 NPs, polymeric, rod shaped

*Corresponding author: [email protected]

Published: 31-03-2025

1. INTRODUCTION

Fire is a rapid exothermic process of combustion [1] that emits both light and heat. Combustion is a complex phenomenon which includes various chemical processes, such as thermal degradation, pyrolysis, and evaporation [2]. Fire plays a vital role in the maintenance of the ecological systems of the world [3]. Its positive impacts include heat generation and growth stimulation. In human usage, the main purpose of fire is to cook food [4]. Signaling and propulsion are its other usages. The negative impacts of fire include atmospheric pollution and soil erosion [4]. It is rapidly produced by devices such as lighters or matches. However, if it gets out of control, it creates disasters that pose risk to both life and property [5].  Ignitable liquids used as fuels for fire, are also termed as combustible and flammable liquids. When used to accelerate fire, they are known as accelerants [6]. The difference between flammable and combustible liquids is that liquids with a flash point below 100 °F (37.8 °C) and a vapor pressure not exceeding 40 psi (2,068 mmHg) at this temperature are classified as flammable liquids. Examples include fuels, such as gasoline, acetone, methyl ethyl ketone, isopropyl alcohol, paint thinner, and varnish [7, 8].  

The flash point of combustible liquids is at or above 100ºF (37.8ºC). These include kerosene, oil-based paints, greases, and lubricants. The flash point is the lowest temperature at which a liquid releases enough vapor to form a combustible mixture with air [9]. The process of determining the flash point involves gradually heating the liquid in open air and noting the temperature at which it first ignites [10]. Accelerant is an agent, mostly an ignitable liquid, used to start or accelerate the spread of fire. Gasoline is usually used as fire accelerant [11, 12]. Accelerants are effectively used to execute crime and some produce explosions [13]. If ignitable liquid has been used to accelerate fire, only then it is considered as an accelerant in a fire investigation. Under usual circumstances, ignitable liquids are occasionally present on the fire scene. The investigator infers whether or not it is an accelerant. However, most of the time, accelerants comprise ignitable liquids [6].

The products obtained through the petroleum industry via the refinement of crude oil, such as gasoline, diesel, and kerosene, are petroleum-based [6, 14]. Whereas ignitable liquids extracted or acquired from other sources, for instance, acetone, ethanol, turpentine, limonene, and essential oils are non-petroleum-based. Turpentine is extracted from pine wood and consists of terpene-like compounds, such as alpha-pinene [15]. Both groups apply identical analytical methods, but their data interpretations vary. Commonly used ignitable liquids are based on petroleum products, and it is less frequent to have non-petroleum sources found [16]. Crude oil mainly consists of hydrocarbons [17, 18], while derivatives having sulfur, oxygen, and nitrogen may also be present [19]. Moreover, some of the metals are found at low levels [20]. All crude oils are composed of three main hydrocarbon classes (alkanes, aromatics and cycloalkanes) but vary in terms of their composition from one to another source [21].

Due to the different proportions of compound classes, the properties of crude oil vary. The abundance of alkanes within a given crude oil varies, including n-paraffins (straight chain) and isoparaffins (branched) [22]. The normal trend is that alkane proportions decrease with the increase of molecular weight. Thus, the more volatile fraction of crude oil has a relatively higher proportion of paraffinic compounds in comparison to the heavier fractions [23]. Fractional distillation plays a crucial role in the refining process [24, 25].

Substrates are the samples on which the analysis of fire debris is performed [26]. Their role begins during the manufacturing process. Some chemicals, such as petroleum-based polymers, are constituents of furniture and clothing. Petroleum products include flammable and combustible liquids, such as gasoline and diesel, as well as paint thinner and charcoal starter fluids. Thus, it is imperative to distinguish the presence of these liquids from the compounds produced by substrates [27]. Material burns at a fire scene, possibly by plentiful soaking of one or more ignitable liquids. Hence, it is sampled and taken to the laboratory by the fire analyst or investigator. Ignitable liquid residues are defined as the residues of ignitable liquids which are adsorbed onto burned substrates and show the characteristic chromatographic pattern of the respective liquid [28], when extracted and analyzed [29]. Forensic science is the use of scientific methodology and its application to investigate a crime [30]. Fire scene investigation is an important discipline of forensic sciences [31, 32]. It helps to determine whether a crime has been committed or not and what mode of operation the committer used [33]. During fire investigation, items of evidence collected comprise fire debris samples [34]. These are required to determine the presence of any ignitable liquid residues. At the scene, some information is gathered by scene investigation specialists. The results from the crime laboratory are reviewed administratively and technically [35]. Finally, reports are dispatched to the respective investigation agencies. When a fire is caused by someone with the intention to commit a crime, it is called arson [36]. An arson investigation may lead to the conviction of the arsonist. Arsons are usually investigated by police departments with the help of forensic science [37]. Fire debris samples are analyzed by forensic scientists, also termed fire debris analysts [38]. After analysis, a report is generated and presented to a court of law [39].

2. MATERIALS AND METHODS

2.1. Samples

Ignitable liquids and common household substrates were collected.

2.2. Apparatus

Screw-capped glass bottles were used for the storage of ignitable liquids. Polythene bags, clean metal polythene bags, and metal cans were used for the preservation of fire debris samples. A pair of stainless steel tongs was used to transfer the sample into the bag or can. Disposable aloe nitrile gloves were used to handle each sample in order to avoid any contamination due to perspiration or cross-contamination from different samples. Tripod stands and Bunsen burner were used to preparer fire debris. Standard Pyrex glassware, including beakers, screw-capped test tubes, and funnels were used for the preparation of samples. All laboratory glassware was cleaned and thoroughly rinsed with de-ionized water and dried in a dust-free environment prior to use. The various experimental steps for the tracing of the chemical signatures of various flammable liquids from common crime scene substrates are visualized in Figure 1.

2.3. Chemicals and Reagents  

 n-Pentane ≥ 99 % GC Grade 60489-5L-R Sigma-Aldrich USA

Methanol 99.8+ % GC Grade 423950025 Acros Organics German

2.4. Sampling  

For the collection of ignitable liquids, samples were purchased from different locations in Lahore. Then, common household substrates were collected and burned with ignitable liquids. Table 1 illustrates the sample collection of common ignitable liquids.

Table 1. Sample Collection of Common Ignitable Liquids

Sr #

Sample Name

Sampling Place

Brand

1

Gasoline

Thokar Niaz Baig, Lahore

PSO

2

Diesel

Thokar Niaz Baig, Lahore

PSO

3

Kerosene

Thokar Niaz Baig, Lahore

Local

4

Paint Thinner-1

Thokar Niaz Baig, Lahore

Local

5

Paint Thinner-2

Mughalpura, Lahore

Local

The collection of common household substrates that were collected and burned with ignitable liquids is shown below in Table 2.

2.5. Sample Treatment

Samples were burned to generate pyrolysis products and their role in producing interference was evaluated. For burning, they were handled with tongs, so that more air was provided to the sample, which allowed it to burn better. The burner was turned on, and the flame was kept low. Each sample was burned in a way that one-third to two-thirds of it was burnt and then extinguished. It was done by placing the lid back on the cane containing the burnt sample. This starved the fire due to the lack of oxygen and eventually extinguished it.

2.6. Preparation of Fire Debris Samples

The fire debris samples were carried safely from the fire scene to the lab. In order to avoid the loss of ILRs and to avoid possible contamination from external sources, properly sealed polythene bags and metal cans were used. Each can and lid were decontaminated for at least 6 hours in the oven at more than 200oC before use.

Table 2. Common Household Substrates and Ignitable Liquids

Sr #

Substrate

Ignitable Liquids

1.

Pet Bottle

Gasoline, Kerosene

2.

Plastic (cutlery)

Gasoline, Kerosene

3.

Hose Pipe

Gasoline, Kerosene

4.

Match Stick

Gasoline, Kerosene

5.

Polystyrene Packaging Foam

Gasoline, Kerosene

6.

PVC Pipe

Gasoline, Kerosene

7.

Painted Wood

Gasoline, Kerosene

8.

Painted Hardboard

Gasoline, Kerosene

9.

Elastic

Gasoline, Kerosene

10.

Plastic Bag

Gasoline, Kerosene

11.

Hardboard

Gasoline, Kerosene

12.

Win board

Gasoline, Kerosene

13

Table Cloth

Gasoline, Kerosene

14

House Rag

Gasoline, Diesel

15

Cloth

Gasoline, Kerosene

16

Leather Shoe

Gasoline, Kerosene

17

Nylon Rope

Gasoline, Kerosene

18

Newspaper

Gasoline, Diesel

19

Acetate Sheet

Gasoline, Kerosene

20

Polyurethane Foam

Gasoline, Diesel

2.7. Extraction

A portion of the sample was selected for extraction. It was taken in a clean glass beaker and 10 ml of solvent (n-Pentane) was introduced and shaken for one minute. Any ILR present in the debris was extracted into the solvent.

2.8. Filtration

After the solvent was removed from the debris, it was filtered and transferred into a clean screw-capped test tube. Whatman No.1 filter paper was used for filtration.

2.9. Concentration

After filtration, the extract was concentrated by evaporating the solvent. Evaporation was performed as gently as possible, leaving the extract container under the hood and by regularly monitoring the progress of concentration.

2.10. Sample Preparation
  • Neat ignitable liquids were diluted with n-pentane using micropipettes to get a dilution of 2.5 µl / ml in separate Agilent GC autosampler vials labeled and closed tightly.
  • A mixture comprising equal quantities (0.5 ml) of gasoline, kerosene, and diesel was diluted with n-pentane to get 2.5 µl/ml in a tightly closed vial.
  • Substrate extracts were shifted to separately labeled Agilent GC autosampler vials using Pasteur pipettes and the vials were tightly closed.
  • n-pentane was taken as blank.

Figure 1. Graphical Illustration of Various Experimental Steps for the Tracing of Chemical Signatures of Flammable Liquids from Common Crime Scene Substrates

2.11. Instrumentation 

Samples were analyzed using the Gas Chromatography-Mass Spectrometry (GC-MS Agilent 7890A-5975C system with 7693 autosampler, operating in EI mode at 70 eV. The software used was GC ChemStation (revision B.04.01 SP1) and MSD ChemStation (revision E.02.00 SP2) The Agilent 7890A-5975C GC-MS system with the 7693 autosampler is manufactured by Agilent Technologies Inc., a U.S.-based >company. The instrument was% phenyl silicone capillary column HP-5MS (DB-5) (20 m x 180 µm x 0.18 µm). The carrier gas used was Helium at a flow rate of 1ml/min. The resulting total ion chromatogram and mass spectral data were evaluated in comparison to the known standard data. The identification of components was performed by the National Institute of Standards and Technology library (NIST08. L). The GC and MS parameters are mentioned below in Table 3.

Table 3. GC and MS Parameters

GC Parameters

Parameter

SET Value

Line

Split (20:1)

Injector

2500C

Initial Temperature

400C

Initial Time

4 minutes

Rate

100/min

Final Temperature

2800C

Final time

2 minutes

Total run time

30 minutes

Solvent delay

2.4 minutes

MS Parameters

Inlet

GC

Acquisition mode

Scan

Low mass

31

High mass

350

3. RESULTS AND DISCUSSION

Total Ion Chromatogram (TIC) shows the intensity of ion signals (Y-axis) vs. retention time (X-axis, in minutes), as depicted in Figure 2. Peaks represent individual compounds separated and detected over time. The TIC covers a time span of about 3 to 11 minutes, typical for volatile to semi-volatile compounds in gasoline. The retention time of the identified compounds via mass spectroscopy is given below in Table 4.

Table 4. Retention Time of Identified Compounds of Gasoline

Retention Time (approx.)

Compound Identified

Type

~3.5 min

Cyclohexane, 1,4-dimethyl

Light hydrocarbon

~4.5 min

Ethylbenzene

Aromatic hydrocarbon

~5.0 min

Octane, 2-methyl-

Branched alkane

~6.0 min

Benzene, 1-methyl-2-ethyl

Alkylated benzene

~7.0–9.0 min

Benzene derivatives (e.g. trimethylbenzene isomers)

Polyalkylbenzenes

~10.0 min

Methylnaphthalene, Naphthalene

Polycyclic aromatics

C8 and C9 refer to hydrocarbons with 8 and 9 carbon atoms, respectively. Gasoline typically includes C4 to C12 hydrocarbons. Signature compounds for gasoline include:

  1. Alkanes: Octane, 2-methyl
  2. Aromatics: Ethylbenzene, trimethylbenzenes
  • Naphthalenes: Present at higher retention times, less volatile

The presence of branched alkanes and alkylated aromatics is characteristic of gasoline. The distribution of peaks across a wide volatility range confirms a mixture of low to mid-boiling compounds, a hallmark of gasoline. The presence of ethylbenzene, trimethylbenzenes, and methylnaphthalenes are key markers used in ASTM E1618-06 to classify ignitable liquids as gasoline-range products (G class). The chromatogram confirms the presence of gasoline based on the identification of typical components and their retention times. Such patterns are used in the forensic analysis of fire debris to identify ILRs.

Figure 2. Total Ion Chromatogram of Gasoline

Figure 3 represents the TIC of kerosene obtained using GC-MS. The X-axis (Time) represents retention time in minutes. It shows how long each compound takes to travel through the GC column and reach the detector. The Y-axis shows the intensity of the ion signals detected, which is proportional to the amount of each compound present. Several peaks are annotated with compound names, indicating the chemical components identified in the kerosene sample, as given below in Table 5.

Table 5. Retention Times of the Identified Compounds of Kerosene

Retention Time (approx.)

Identified Compound

Type

~5.5 min

Cyclohexane, 1,4-Dimethyl

Branched cycloalkane, common in hydrocarbons

~6.5 min

Nonane, 3-Methyl

Branched alkane

~7.5 min

Nonane, 5-Methyl

Isomer of the above

~9.2 min

Benzene, 1,2,4-trimethyl

Aromatic hydrocarbon (a trimethylbenzene isomer)

 Peaks labeled C9-C14 correspond to n-alkanes with carbon numbers from C9 (nonane) to C14 (tetradecane). The largest peak appears to be C11, suggesting that undecane (C11H24) is the most abundant straight-chain hydrocarbon in this kerosene sample. Kerosene is a complex mixture of hydrocarbons, mainly C9-C16 alkanes and aromatics. The chromatogram confirms this by showing multiple peaks corresponding to linear and branched alkanes and aromatic hydrocarbons. The dominance of C10-C12 peaks indicates that the sample likely contained medium-chain alkanes, common in jet fuels and lamp oils. The chromatogram provides a qualitative fingerprint of the kerosene sample, identifying key hydrocarbon constituents and showing their relative abundances.

Figure 3. Total Ion Chromatogram of Kerosene

Figure 4. Total Ion Chromatogram of Diesel

In Figure 4, the peaks labeled C9-C26 correspond to n-alkanes from nonane (C9H20) to hexacosane (C26H54). The dominant peaks are C13-C18 which are also the most abundant, indicating that medium to long-chain hydrocarbons dominate the sample. Diesel usually contains C10-C22 alkanes. This chromatogram confirms major peaks between C13-C18, which is common in high-boiling, middle-distillate fuels. The TIC of diesel reveals a broad and complex mixture of hydrocarbons, predominantly long-chain n-alkanes (C13-C18), as well as branched and cyclic hydrocarbons. These components are characteristic of diesel fuel, optimized for a higher boiling point, energy content, and engine performance.

Fig. 4 shows the TIC of burnt painted wood, analyzed using GC-MS. The chromatogram of burnt painted wood reveals the release of low molecular weight hydrocarbons (C9-C12 alkanes) and synthetic paint-related compounds. The prominent peak (near 24 minutes) likely corresponds to a high-boiling degradation product from paint or resin, suggesting the combustion of complex organic materials.  A large peak near 24 minutes with no label likely indicates that a major compound or a complex decomposition product could be a high-boiling paint additive, resin component, or an aromatic/phenolic compound from pyrolyzed wood/paint. The chromatogram of burnt painted wood reveals the release of low molecular weight hydrocarbons (C9-C12 alkanes) and synthetic paint-related compounds. The prominent peak near 24 minutes likely corresponds to a high-boiling degradation product from paint or resin, suggesting the combustion of complex organic materials.

The TIC of burnt newspapers is illustrated in Figure 5. It provides a detailed chemical analysis of the volatile compounds released during burning.

  • X-axis (Time): This shows the retention time (in minutes) which indicates when each compound eluted (came out) from the gas chromatograph.
  • Y-axis (Abundance): This represents the intensity or quantity of the detected ions. Higher peaks indicate higher concentrations of the particular compound.
  • Early peaks (around 8-10 minutes):
    1. Octane, 2-Methyl: A light hydrocarbon often found in petroleum products.
    2. Decane: A straight-chain hydrocarbon present in fuels.
  • Mid peaks (10-15 minutes):
    1. Undecane, 2-methyl
    2. Dodecane
  • Benzene, 1-methyl-3-: A derivative of benzene, which is aromatic and often results from incomplete combustion.
  1. Tridecane: Another hydrocarbon commonly associated with ignitable liquids.
  • Late peaks (after 16 minutes):
    1. Hexadecane: A long-chain hydrocarbon typical of heavier fuels or waxy substances.

The presence of alkanes including decane, undecane, dodecane, tridecane, and hexadecane suggests that the residues of hydrocarbons remain detectable in the burnt newspaper. Some of these compounds (e.g., decane and dodecane) are also found in common ignitable liquids (e.g., gasoline, kerosene). Benzene derivatives may indicate incomplete combustion or the presence of aromatic compounds from the burning material or potential accelerants. This chromatogram demonstrates that a range of hydrocarbons were released and detected from the burnt newspaper.

Figure 5. Total Ion Chromatogram (TIC) of Painted Wood (Burnt)

Figure 6. Total Ion Chromatogram (TIC) of Newspaper (Burnt)

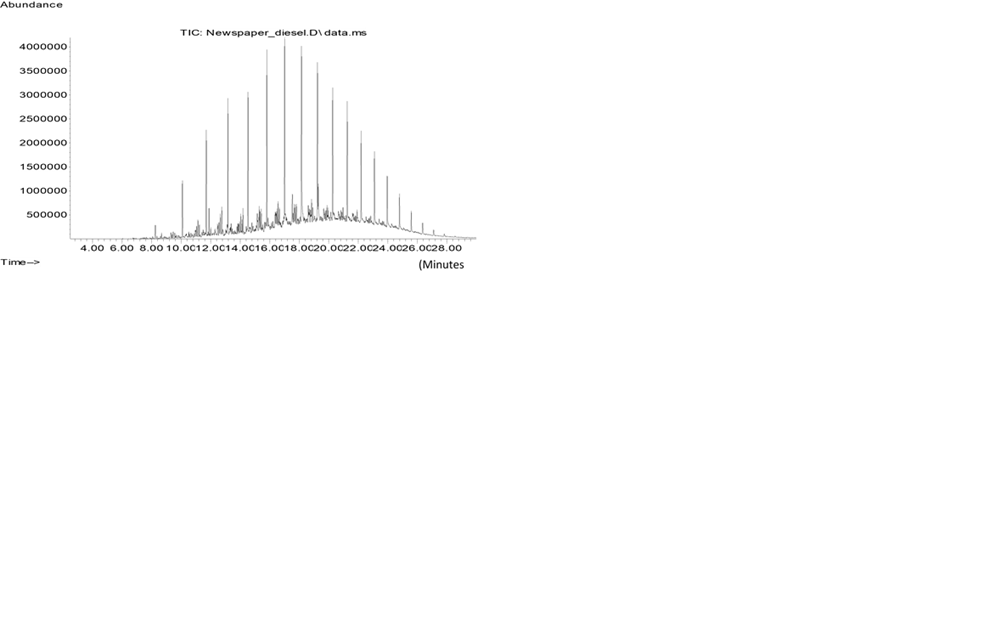
Figure 7. Total Ion Chromatogram (TIC) of Newspaper (Burnt with Diesel)

The TIC of newspaper (burnt) and the TIC of newspaper (burnt with diesel) are shown below in Figures 6 and 7 respectively.

Figure 8. Graphical Representation of Ignitable Liquid Residues and Pyrolysis Products in the Debris of Substrates

In Figure 8 (a clustered column chart), the whole study is presented in terms of the percentage of ignitable liquid residues (ILRs) vs pyrolysis products (PyPs) from the fire debris of substrates while considering the percentage of the former as 100%. The substrates are shown on X-axis and ILRs and PyPs on Y-axis. Blue columns indicate ILRs and red columns show PyPs. The latter were detected in 13 substrates. Neither ILRs nor PyPs were found in 3 substrates.

4. CONCLUSION

This qualitative study successfully demonstrated the utility of GC-MS in fire debris analysis by evaluating the chromatographic profiles of neat ignitable liquids and common household substrates. A reference database of ignitable liquid chromatograms was established for comparative purposes. The analysis of burnt substrates revealed that the recovery of ILRs depends on both the type of substrate and the retention capacity of the ignitable liquid on the surface. The chromatographic patterns of ILRs generally matched those of their corresponding neat ignitable liquids, confirming their diagnostic value. However, the nature of the respective ignitable liquid significantly influenced the recovery efficiency. Light petroleum products such as gasoline, due to their high volatility and low boiling range, were less recoverable from fire debris as compared to heavier distillates, such as kerosene and diesel. In addition, PyPs generated from the combustion of substrates produced lower-abundance chromatographic peaks, which were predominantly composed of n-alkanes and iso-alkanes. Although these compounds can mimic some features of ILRs, they typically lack the complex and diagnostic peak patterns characteristic of ignitable liquids. Nevertheless, their presence can distort the chromatogram and obscure ILR signals, potentially leading to misinterpretation if not carefully distinguished.

CONFLICT OF INTEREST

The authors of the study have no financial or non-financial conflict of interest in the subject matter or materials discussed in this study.

DATA AVAILABILITY STATEMENT

Data of this study will be provided by corresponding author upon reasonable request.

FUNDING DETAILS

No funding has been received for this research.

REFERENCES

  1. Khan MM, Tewarson A, Chaos M. Combustion characteristics of materials and generation of fire products. In: Hurley MJ, Gottuk D, Hall JR, et al., eds. SFPE Handbook Of Fire Protection Engineering. Springer; 2016:1143–1232.
  2. Chen Y, Alizadeh A, Abed AM, et al. The combustion process of methyl ester-biodiesel in the presence of different nanoparticles: a molecular dynamics approach. J Mol Liq. 2023;373:e121232. https://doi.org/10.1016/j.molliq.2023.121232
  3. Ensbey M, Legge S, Jolly CJ, et al. Animal population decline and recovery after severe fire: Relating ecological and life history traits with expert estimates of population impacts from the Australian 2019-20 megafires. Biol Conserv. 2023;283:e110021. https://doi.org/10.1016/j.biocon.2023.110021
  4. Kuamr M, Rajak A. Automatic flame control system for domestic gas stoves: a review. In: Pandey R, Jaiswal R, Dhanara A, eds. Scientific Approach for Self Reliant India. Shree Vinayak Publication; 2023:186–188.
  5. Lindenmayer DB, Yebra M, Cary GJ. Prespectives: better managing fire in flammable tree plantations. Forest Ecol Manag. 2023;528:e120641. https://doi.org/10.1016/j.foreco.2022.120641
  6. Ferreiro-González M, Ayuso J, Álvarez JA, Palma M, Barroso CG. Application of an HS–MS for the detection of ignitable liquids from fire debris. Talanta. 2015;142:150–156. https://doi.org/10.1016/j.talanta.2015.04.030
  7. Baerncopf JM, McGuffin VL, Smith RW. Association of ignitable liquid residues to neat ignitable liquids in the presence of matrix interferences using chemometric procedures. J Foren Sci. 2011;56(1):70–81. https://doi.org/10.1111/j.1556-4029.2010.01563.x
  8. Bozebeyoglu P, Dogan O. Determination of chemical risk factors in chemical laboratories. In: Akul H, ed. Current Research in Science and Mathematics. Iksad Publications; 2023:105–119.
  9. Khalili T, Zarringhalam Moghaddam A. Measurement and calculation of flash point of binary aqueous–organic and organic–organic solutions. Fluid Phase Equilib. 2011;312:101–105. https://doi.org/10.1016/j.fluid.2011.09.003
  10. Gaudin T, Rotureau P, Fayet G. Combining mixing rules with QSPR models for pure chemicals to predict the flash points of binary organic liquid mixtures. Fire Saf J. 2015;74:61–70. https://doi.org/10.1016/j.firesaf.2015.04.006
  11. Park C, Lee J-b, Park W, Lee D-k. Fire accelerant classification from GC–MS data of suspected arson cases using machine–learning models. Forensic Sci Int. 2023;346:e111646. https://doi.org/10.1016/j.forsciint.2023.111646
  12. Bogdal C, Schellenberg R, Höpli O, Bovens M, Lory M. Recognition of gasoline in fire debris using machine learning: Part I, application of random forest, gradient boosting, support vector machine, and naïve bayes. Foren Sci Int. 2022;331:e111146. https://doi.org/10.1016/j.forsciint.2021.111146
  13. O'Hagan A, Ellis H. A critical review of canines used to detect accelerants within an arson crime scene. Foren Res Criminol Int J. 2021;9(2):65–72.
  14. Selley RC, Sonnenberg SA, Sonnenberg R. The physical and chemical properties of petroleum. In: Selley RC, ed. Elements of Petroleum Geology. 3rd ed. Gulf Professional Publishing; 2015:13–39.
  15. Yadav AS, Singh P, Sahu R, et al. Potential utilization of turpentine oil as an alternative fuel. Materials Today: Proc. 2022;63:A1–A8. https://doi.org/10.1016/j.matpr.2022.06.319
  16. Guerrera G, Chen E, Powers R, Kammrath BW. The potential interference of body products and substrates to the identification of ignitable liquid residues on worn clothing. Foren Chem. 2019;12:46–57. https://doi.org/10.1016/j.forc.2018.11.007
  17. Akpe AR, Ekundayo AO, Aigere S, Okwu G. Bacterial degradation of petroleum hydrocarbons in crude oil polluted soil amended with cassava peels. Am J Res Commun. 2015;3(7):99–118.
  18. Wang X-B, Chi C-Q, Nie Y, et al. Degradation of petroleum hydrocarbons (C6–C40) and crude oil by a novel Dietzia strain. Biores Technol. 2011;102(17):7755–7761. https://doi.org/10.1016/j.biortech.2011.06.009
  19. Booth E, Strobel G, Knighton B, Sears J, Geary B, Avci R. A rapid column technique for trapping and collecting of volatile fungal hydrocarbons and hydrocarbon derivatives. Biotechnol Lett. 2011;33:1963–1972. https://doi.org/10.1007/s10529-011-0660-2
  20. Saleh MQ, Hamad ZA, Hama JR. Assessment of some heavy metals in crude oil workers from Kurdistan Region, northern Iraq. Environ Monitor Assess. 2021;193:e49. https://doi.org/10.1007/s10661-020-08818-w
  21. Coutinho DM, França D, Vanini G, et al. Rapid hydrocarbon group-type semi-quantification in crude oils by comprehensive two-dimensional gas chromatography. Fuel. 2018;220:379–388. https://doi.org/10.1016/j.fuel.2018.02.009
  22. Khanna S, Singh K, Nasser S, Sharma S. Chemistry of crude oils. Inter J Adv Res Innov. 2014;2(2):525–532.
  23. Beckmann M, Hardege J, Zeeck E. Effects of the volatile fraction of crude oil on spawning behaviour of nereids (Annelida, Polychaeta). Marine Environ Res. 1995;40(3):267–276. https://doi.org/10.1016/0141-1136(94)00145-F
  24. Hoffmann J, Jensen CU, Rosendahl LA. Co-processing potential of HTL bio-crude at petroleum refineries–Part 1: Fractional distillation and characterization. Fuel. 2016;165:526–535. https://doi.org/10.1016/j.fuel.2015.10.094
  25. Taghipour A, Ramirez JA, Brown RJ, Rainey TJ. A review of fractional distillation to improve hydrothermal liquefaction biocrude characteristics; future outlook and prospects. Renew Sustain Energy Rev. 2019;115:e109355. https://doi.org/10.1016/j.rser.2019.109355
  26. Waddell EE, Song ET, Rinke CN, Williams MR, Sigman ME. Progress toward the determination of correct classification rates in fire debris analysis. J Foren Sci. 2013;58(4):887–896. https://doi.org/10.1111/1556-4029.12159
  27. Lopatka M, Sigman ME, Sjerps MJ, Williams MR, Vivó-Truyols G. Class-conditional feature modeling for ignitable liquid classification with substantial substrate contribution in fire debris analysis. Foren Sci Int. 2015;252:177–186. https://doi.org/10.1016/j.forsciint.2015.04.035
  28. Visotin A, Lennard C. Preliminary evaluation of a next-generation portable gas chromatograph mass spectrometer (GC-MS) for the on-site analysis of ignitable liquid residues. Aust J Foren Sci. 2016;48(2):203–221. https://doi.org/10.1080/00450618.2015.1045554
  29. Sampat AA, Van Daelen B, Lopatka M, et al. Detection and characterization of ignitable liquid residues in forensic fire debris samples by comprehensive two-dimensional gas chromatography. Separations. 2018;5(3):e43. https://doi.org/10.3390/separations5030043
  30. Johnson D, Peterson J, Sommers I, Baskin D. Use of forensic science in investigating crimes of sexual violence: Contrasting its theoretical potential with empirical realities. Voil Against Women. 2012;18(2):193–222. https://doi.org/10.1177/1077801212440157
  31. Muehlethaler C, Leona M, Lombardi JR. Review of surface enhanced Raman scattering applications in forensic science. Anal Chem. 2016;88(1):152–169.
  32. Sodhi G, Kaur J. Forensic investigation of Arson: a review. Indian Pol J. 2020;67(1):49–54.
  33. Girard JE. Criminalistics: Forensic Science, Crime, And Terrorism. 5th ed. Jones & Bartlett Learning; 2021.
  34. Baerncopf J, Hutches K. A review of modern challenges in fire debris analysis. Foren Sci Int. 2014;244:e12–e20. https://doi.org/10.1016/j.forsciint.2014.08.006
  35. Martín-Alberca C, Ortega-Ojeda FE, García-Ruiz C. Analytical tools for the analysis of fire debris. a review: 2008–2015. Anal Chim Acta. 2016;928:1–19. https://doi.org/10.1016/j.aca.2016.04.056
  36. Harris HA, Lee HC. Arson and explosives. In: Howard A. Harris, Henry C. Lee, eds. Introduction to Forensic Science and Criminalistics. 2nd ed. CRC Press; 2019:289–325.
  37. Dioso-Villa R. Scientific and legal developments in fire and arson investigation expertise in Texas v. Willingham. Minnesota J Law Sci Technol. 2013;14:817–848.
  38. Stauffer E, Dolan JA, Newman R. Fire Debris Analysis. Academic Press; 2007.
  39. Karie NM, Kebande VR, Venter H, Choo K-KR. On the importance of standardising the process of generating digital forensic reports. Foren Sci Int: Rep. 2019;1:e100008. https://doi.org/10.1016/j.fsir.2019.100008