| Review | Open Access |
|---|
This study discusses hydromagnetic flow and the movement of a fluid with adhesive property through a channel that is semi-porous. For this purpose, the slip condition is taken at a bottom wall and its thermal effects are noted. Presumably, the channel has porous upper boundaries and non-porous lower boundaries. The equation of fluid motion and a number of linear ordinary differential equations are combined. To find a simplified logical equation, Homotopy Analysis Method (HAM) is applied. For numerical computations of the problem, the shooting method is applied. The heat transfer effects in the flow, being complex, are simplified into graphic displays. Both methods are equally compared, as shown through graphs.
In different research sectors, many schools of thought exist regarding the behavior of liquids traveling through semi-permeable flasks. This is useful in the medical field as it helps to purify blood in artificial kidneys [1] and oxygenate [2] blood in capillaries [3]. Kamışlı et al. [4] successfully found the channel flow of non-Newtonian fluids with wall suction or injection and solved the Navier-Stokes equation for flow in a semi-porous channel with steady, incompressible, and adhesive characteristics. Afterwards, the above research was furthered to incorporate both Newtonian and non-Newtonian fluids [5–13].
There are multiple approaches to MHD flow with respect to convection, for instance, in the study of plasma, medical sciences, and geophysics. Ziabakhsh and Domairry [14] presented the homotopy analysis method (HAM) solution of the laminar viscous flow in a semi-porous channel with a uniform magnetic field. They also attempted to solve the same problem, but with the help of HAM. Rundora and Makinde [15] studied the porous saturated medium flow of the fluid. Shekholeslami et al. [16] applied the optimal homotopy asymptotic approach to get the exact results of magnetic field effects on an adhesive motion through a semi-porous channel. Abbas et al. [17] discussed the results of the hydromagnetic flow of a second-grade fluid, which is chemically reactive, in a semi-permeable medium by using HAM.
The current research helps to find answers to all the questions about the impact of thermal radiation on the hydromagnetic Newtonian flow of fluid through a semi-porous channel. The slip condition is used on the lower wall of the channel. Linear ordinary differential equation gives the movement of the fluid and the temperature. HAM [18–20] is used to find its solution. At the end, the convergence and comparison of new results with old ones using no slip condition are presented in detail.
Consider a channel having semi-porous boundaries filled with viscous, incompressible electricity conducting fluid, as shown in Figure 1. The fluid is injected into the channel from a wall at a distance from the -axis, whereas external heat is applied to the wall lying along -axis. A uniform magnetic field with intensity is taken orthogonal to the flow. The small Reynolds number assumption is utilized to abandon the impacts of the induced magnetic field.
Figure 1. Geometry of the Problem
The equations of velocity and temperature are given below.

The flow equations are stated below.

Here, u ̃ and v ̃ denote horizontal and vertical parts of the velocity and cp, T, μ, v, ρ, ν, p, L, σ, k and qr are the specific heat points at constant pressure, temperature of the fluid, dynamic viscosity, kinematic viscosity, density, pressure, velocity gradient, electrical conductivity, thermal conductivity, and radiative heat flux, respectively.
The following equations give the boundary of the problem.

In the above equation, l represents slip constant, whereas l=0 indicates the absence of the slip condition.
The Rosseland approximation for radiative heat flux is used.
Here, σ* is Stefan-Boltzman constant and k* denotes the absorption coefficient. Since variation in temperature inside the flow is quite slight, so we can use the Taylor series of order 4 about T∞ to get the expansion of T 4, where T∞ is a linear function of T.
We get
Using eqs. (8) & (9), eq. (6) becomes
Consider , where Nr is a radiation parameter. So, eq. (7) becomes
To calculate U, the mean velocity, the following equation is applied
Using the dimensionless transforms,
Using eqs. (12) and (13), the dimensionless equations for continuity and momentum, eqs. (3)-(5) and energy eq. (11) yield
In the above equation, ε is the dimensionless number and is given by ε=h/Lx , where h is the distance and Lx is very small (length of the slider in x direction), M represents the Hartmann number given by M =B0 h√(σ/μ), denotes the Prandtl number given by Pr= (μcp)/k, Ek is the Eckert number given by E=U02/(Th-T0)cp, , and Re is the Reynolds number given by Re=hq/v .
Using similarity transformation independent of aspect ratio ε introduced by Berman,
The continuity of eq. (14) is identically satisfied. Substituting eq. (18) in eq. (16), one can see that the quantity ∂p/∂y does not involve the longitudinal variablex . It is also observed that ∂2 p/∂x2 does not depend upon . A separation of variable yields the following equations,
where the symbols of primes represent the number of derivatives.
Differentiating the above eq. 19 with respect to y , we get
The respective conditions are
Here is the slip parameter given by β=l/h .
By combining eqs (17) and (18), we get
The optimal solution of eq. (22) is represented as follows:”
The respective boundaries are
Using eq. (18) into eqs. (15) and (16), we get
Suppose in this problem is independent of the longitudinal variable , therefore, we consider
In this case, eq. (26) becomes
Homotopy anslysis method (HAM) is applied to solve this problem. It is better than many other analytical techniques because it involves series expansion and does not depend upon large or small parameters. Further, it provides an easy way to get the best result of the problem.
To get the output of the problem, HAM is used, as pointed out by Liao [20]. The initial guess for the given problem includes
The following are auxiliary linear operators,
which satisfy the following properties,
where c1,c2,.......,c8 are constants to determine. The equations of zeroth order deformation are given below.
with boundary conditions,
where ℏV,ℏU "and" ℏθ are auxiliary parameters whose values are not zero and q represents an embedding parameter with 0 q 1. Whereas, N1,NN1, are nonlinear operators.
For q=0 and q=1, the solutions of deformation equations of order zero are given below.
Applying Taylor's series to expand V(y,q),U(y,q)"and" θ(y,q) about q, we have
where
It is observed that the convergence of the considered problem equations (38)-(40) is based on the auxiliary parameters ℏV,ℏU "and" ℏθ, where ℏV,ℏU "and" ℏθ are chosen in a manner that these three series become convergent at Then, eqs (47)-(49) give the following results.
We get
We differentiate m-times equations (38)-(40) with respect to q and put q=0 . Multiplying by 1/ , we get the new equations of mth ordered given below.
where
and
We take as the particular solutions of a set of equations from eq. (59) to eq. (61). The general solutions are represented by
where the integral constants c1,c2,.......,c8 are calculated for boundary conditions (62)-(64) as follows:
The solution of equations (59)-(61) can be found easily by using the software MATHEMATICA” for m = 1,2,3,....
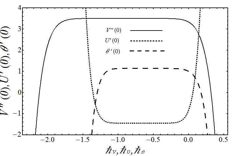
Figure 2. ℏ- curves of V'(0),U'(0) and θ'(0) at 10th order of approximate for β = 0.2, Pr = 0.5, E = 0.5, M = 1.5, Nr = 0.5, and Re = 1
The best approximation of the considered problem is based on ℏV,ℏU "and" ℏθ . The curves are up to the order 10th in Figure 2. Moreover, it is observed that these are in the acceptable ranges of ℏV, ℏu and ℏθ , which are -1.7≤ℏV≤-0.2, -1.1≤ℏu≤-0.2, and -1≤ℏθ≤-0.1.
Based on the analysis, this section is devoted to discuss the solutions of dimensionless velocity and temperature fields. HAM and other numerical techniques have been utilized to find the solution of the problem under consideration. Graphs are drawn for the comparison of these solutions.
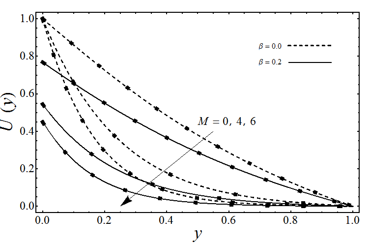
Figure 3 is drawn to show the detailed comparison for two different values of slip parameter β for velocity field U(y) and for the chosen points of the magnetic parameter and slip parameter β, putting Re = 1. The figure describes that magnetic field behaves like a retarding force for velocity. In contrast, Figure 4 shows that by means of both solution techniques the magnetic field reduces the normal velocity. Whereas, the reverse situation is observed for discrete values of the slip parameter
Figure 3. Analysis of numerical solution (filled square) and ham solution (solid and dashed lines) U(y) for and for distinct points of magnetic parameter and slip parameter β when Re = 1.
Figure 4. Analysis of numerical solution (filled square) and HAM solution (solid and dashed lines) V(y) for and for discrete points of magnetic parameter M and slip parameter β when Re = 1.
Figure 5. Analysis of numerical solution (filled square) and HAM solution (solid and dashed lines )V'(y) for and for distinct points of magnetic parameter M and slip parameter β when Re = 1.
The accuracy of HAM and numerical solution is depicted in Figure 5 for V'(y) , for different values of the magnetic parameter M, and for the two fixed values of β. It is evident from this figure that for β = 0 and for the modest values of M, the viscosity influences the induction drag and V'(y) is nearly parabolic for M = 0. For higher values of M, the viscosity remains uncritical and its influence is bound to a thin boundary layer near the wall. For β = 0.2 and by increasing the value of M, the maximum velocity point is moved over to the solid wall and its value is increased.
Figures 6-8 show insight into the impacts of different emerging parameters on the temperature field for β = 0 and β = 0.2. The temperature of fluid shows the decreasing behavior for the increasing values of β.
Figure 6. Analysis of numerical solution (filled square) and HAM solution (solid and dashed lines) for and for various points of slip parameter β and magnetic parameter M when Re = 5, Nr = 0.1, Pr = 1, and E = 1.
Figure 6 demonstrates the comparison of the two solution techniques for the temperature field. A decrease is noticed in the value of temperature for greater values of M. Figure 7 shows the accuracy of and comparison between the two solution methods regarding the various values of temperature and the Prandtl number, when the other factors are kept constant. It can be seen that the increase in the temperature of the fluid causes an increase in the value of the Prandtl number. Figure 8 highlights that the behavior of two solutions regarding the temperature distribution for distinct values of the radiation parameter Nr is aggravated. Notably, the value of the temperature of the fluid reduces as the value of Nr increases. This is due to the fact that indicates the relative contribution of thermal conduction to thermal radiation. As the value of Nr increases, the effects of thermal conduction become more significant than thermal radiation. So, a decrease in thermal radiation due to an increase in the value of Nr corresponds to depleting the thermal diffusion of the fluid regime and decreasing the thermal energy. Hence, the temperature of the fluid decreases.
Figure 7. Analysis of numerical solution (filled square) and HAM solution (solid and dashed lines) for θ(y) and for various points of slip parameter β and Prandtl number Pr when Re = 1, M = 1.5, Nr = 0.1, and E = 1.
Figure 8. Analysis of numerical solution (filled square) and HAM solution (solid and dashed lines) for θ(y) and for different points of slip parameter β and radiation parameter Nr when Re=1, M = 1.5, Pr = 1, and E = 0.5.
5.1. ConclusionA comparative study of numerical and analytical solutions is presented through graphs. The comparisons of analytical and numerical solutions are found to be in excellent agreement. The study shows that due to an increase in the values of M and β, a decrease is observed in U(y),V(y) and θ(y) whereas an increase is noticed forV'(y) . An increase in temperature is noted for large values of Pr and β but the situation no longer remains the same in the case of Nr.
The authors of the study have no financial or non-financial conflict of interest in the subject matter or materials discussed in this study.
Data availability is not applicable as no new data has been created.
There are no funding resources dedicated for this research.